W tym zadaniu narysuj wykres funkcji f(x) = 2x2 – 4x i opisz jej cechy, takie jak: dziedzina, zbiór wartości, miejsca zerowe, przedziały, w których funkcja ma stały znak, przedziały monotoniczności, wartości największe, najmniejsze funkcji i argumenty, dla których funkcja je przyjmuje, oraz liczbę rozwiązań równania f(x) = m w zależności od wartości m.
Miejsca zerowe
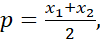
Współrzędne wierzchołka
Punkty przecięcia z osią y
1)
2) Zw =
3)
5) Funkcja nie jest monotoniczna, ale:
W przedziale
W przedziale
6) Funkcja przyjmuje najmniejszą wartość -2 dla x = 1 i nie przyjmuje wartości największej
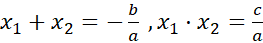
Dla
Dla
Dla
Aby narysować wykres funkcji wyznacz miejsca zerowe doprowadzając funkcje do najprostszej postaci i wyłączając wspólny czynnik przed nawias. Oblicz współrzędne wierzchołka paraboli
Zadanie 1.5.
11Zadanie 1.6.
11Zadanie 1.7.
11Zadanie 1.8.
11Zadanie 1.10.
11Zadanie 1.12.
11Zadanie 1.13.
11Zadanie 2.2.
18Zadanie 2.3.
19Zadanie 2.9.
19Zadanie 3.1.
27Zadanie 3.2.
27Zadanie 3.3.
27Zadanie 3.4.
27Zadanie 3.5.
27Zadanie 3.6.
27Zadanie 3.7.
28Zadanie 3.8.
28Zadanie 3.9.
28Zadanie 3.10.
28Zadanie 3.11.
28Zadanie 3.12.
28Zadanie 3.13.
28Zadanie 3.14.
29Zadanie 3.16.
29Zadanie 4.1.
33Zadanie 4.2.
33Zadanie 4.3.
34Zadanie 4.4.
34Zadanie 4.5.
34Zadanie 4.6.
34Zadanie 4.9.
34Zadanie 4.11.
35Zadanie 4.12.
35Zadanie 5.2.
39Zadanie 5.3.
40Zadanie 5.4.
40Zadanie 5.5.
40Zadanie 5.7.
40Zadanie 5.8.
40Zadanie 6.1.
48Zadanie 6.2.
48Zadanie 6.3.
48Zadanie 6.4.
49Zadanie 6.12.
50Zadanie 6.13.
50Zadanie 6.15.
50Zadanie 23.
55Zadanie 24.
55Zadanie 25.
55Zadanie 26.
56Zadanie 27.
56Zadanie 29.
56Zadanie 30.
56Zadanie 31.
56Zadanie 33.
57Zadanie 46.
58Zadanie 47.
58Zadanie 48.
58Zadanie 50.
58