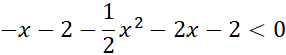
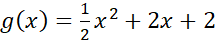
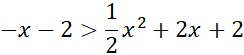
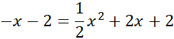
W tym zadaniu narysuj wykresy funkcji f(x) = -x – 2 i
Parabola:
Miejsca zerowe:
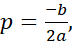
Współrzędne wierzchołka:
Prosta:
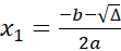
Rozwiązanie rachunkowe:
Odp.
Aby rozwiązać to zadanie wykonaj następujące kroki:
1. Z równania paraboli
2. Oblicz współrzędne wierzchołka paraboli
3. Wyznacz kilka punktów należące do wykresu funkcji g(x).
4. Narysuj wykres obu funkcji w jednym układzie współrzędnych.
5. Odczytaj z wykresu zależności f(x) > g(x) – wykres funkcji f znajduje się nad wykresem funkcji g, f(x) < g(x) - wykres funkcji f znajduje się pod wykresem funkcji g, f(x) = g(x) – wykresy funkcji f i g przecinają się.
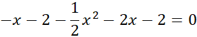
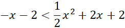
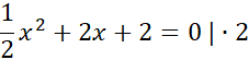
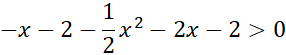
Aby rozwiązać zależności rachunkowo należy zapisać wzory funkcji jako nierówności lub równość, a następnie je rozwiązać. W przypadku nierówności otrzymasz iloczyn dwóch składników po lewej stronie i 0 po prawej. Aby iloczyn był > 0 oba czynniki muszą być > 0 lub oba muszą być < 0. Musisz więc obliczyć wszystkie nierówności, w każdym z przypadków określić część wspólną zbioru i zsumować oba zbiory otrzymując całkowity zbiór rozwiązań. W przypadku, gdy iloczyn ma być < 0, to jeden z czynników musi być < 0, a drugi > 0, dalsze kroki postępowania są analogiczne.
Zadanie 1.5.
11Zadanie 1.6.
11Zadanie 1.7.
11Zadanie 1.8.
11Zadanie 1.10.
11Zadanie 1.12.
11Zadanie 1.13.
11Zadanie 2.2.
18Zadanie 2.3.
19Zadanie 2.9.
19Zadanie 3.1.
27Zadanie 3.2.
27Zadanie 3.3.
27Zadanie 3.4.
27Zadanie 3.5.
27Zadanie 3.6.
27Zadanie 3.7.
28Zadanie 3.8.
28Zadanie 3.9.
28Zadanie 3.10.
28Zadanie 3.11.
28Zadanie 3.12.
28Zadanie 3.13.
28Zadanie 3.14.
29Zadanie 3.16.
29Zadanie 4.1.
33Zadanie 4.2.
33Zadanie 4.3.
34Zadanie 4.4.
34Zadanie 4.5.
34Zadanie 4.6.
34Zadanie 4.9.
34Zadanie 4.11.
35Zadanie 4.12.
35Zadanie 5.2.
39Zadanie 5.3.
40Zadanie 5.4.
40Zadanie 5.5.
40Zadanie 5.7.
40Zadanie 5.8.
40Zadanie 6.1.
48Zadanie 6.2.
48Zadanie 6.3.
48Zadanie 6.4.
49Zadanie 6.12.
50Zadanie 6.13.
50Zadanie 6.15.
50Zadanie 23.
55Zadanie 24.
55Zadanie 25.
55Zadanie 26.
56Zadanie 27.
56Zadanie 29.
56Zadanie 30.
56Zadanie 31.
56Zadanie 33.
57Zadanie 46.
58Zadanie 47.
58Zadanie 48.
58Zadanie 50.
58