W tym zadaniu znajdź rozwiązanie nierówności
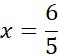
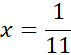
Miejsca zerowe:
Aby rozwiązać to zadanie musisz wyłączyć minus przed nawias po prawej stronie nierówności, otrzymasz wtedy wyrażenie (5x - 6) i doprowadzić do postaci, w której prawa strona nierówności będzie równa 0. Następnie wyłącz czynnik (5x – 6) przed nawias i wykonaj obliczenia. Otrzymasz postać iloczynową funkcji, z której możesz wyznaczyć jej miejsca zerowe. Narysuj wykres i odczytaj argumenty, dla których funkcja jest większa od 0.
Zadanie 1.5.
11Zadanie 1.6.
11Zadanie 1.7.
11Zadanie 1.8.
11Zadanie 1.10.
11Zadanie 1.12.
11Zadanie 1.13.
11Zadanie 2.2.
18Zadanie 2.3.
19Zadanie 2.9.
19Zadanie 3.1.
27Zadanie 3.2.
27Zadanie 3.3.
27Zadanie 3.4.
27Zadanie 3.5.
27Zadanie 3.6.
27Zadanie 3.7.
28Zadanie 3.8.
28Zadanie 3.9.
28Zadanie 3.10.
28Zadanie 3.11.
28Zadanie 3.12.
28Zadanie 3.13.
28Zadanie 3.14.
29Zadanie 3.16.
29Zadanie 4.1.
33Zadanie 4.2.
33Zadanie 4.3.
34Zadanie 4.4.
34Zadanie 4.5.
34Zadanie 4.6.
34Zadanie 4.9.
34Zadanie 4.11.
35Zadanie 4.12.
35Zadanie 5.2.
39Zadanie 5.3.
40Zadanie 5.4.
40Zadanie 5.5.
40Zadanie 5.7.
40Zadanie 5.8.
40Zadanie 6.1.
48Zadanie 6.2.
48Zadanie 6.3.
48Zadanie 6.4.
49Zadanie 6.12.
50Zadanie 6.13.
50Zadanie 6.15.
50Zadanie 23.
55Zadanie 24.
55Zadanie 25.
55Zadanie 26.
56Zadanie 27.
56Zadanie 29.
56Zadanie 30.
56Zadanie 31.
56Zadanie 33.
57Zadanie 46.
58Zadanie 47.
58Zadanie 48.
58Zadanie 50.
58