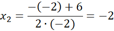
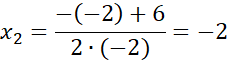
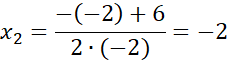
W tym zadaniu narysuj wykresy funkcji f(x) = -2x2 – 4x + 2 i g(x) = -2x - 2 w jednym układzie współrzędnych i odczytaj wartości dla których: I. f(x) > g(x), II. f(x) < g(x), III. f(x) = g(x). Następnie rozwiąż nierówność f(x) > g(x) poprzez obliczenia.
I.
f(x) > g(x):
f(x) < g(x):
f(x) = g(x):
Aby rozwiązać to zadanie musisz narysować wykresy funkcji. W tym celu wyznacz współrzędne wierzchołka paraboli, miejsca zerowe obu funkcji i kilka innych punktów wykresów. Następnie odczytaj z wykresu zależności f(x) > g(x) – wykres funkcji f znajduje się nad wykresem funkcji g, f(x) < g(x) - wykres funkcji f znajduje się pod wykresem funkcji g, f(x) = g(x) – wykresy funkcji f i g przecinają się. Aby rozwiązać zależności rachunkowo należy zapisać wzory funkcji jako nierówności lub równość, a następnie je rozwiązać. W przypadku nierówności musisz doprowadzić do postaci, w której prawa strona nierówności będzie równa 0. Następnie znajdź miejsc zerowe funkcji obliczając wyróżnik trójmianu kwadratowego
Zadanie 1.5.
11Zadanie 1.6.
11Zadanie 1.7.
11Zadanie 1.8.
11Zadanie 1.10.
11Zadanie 1.12.
11Zadanie 1.13.
11Zadanie 2.2.
18Zadanie 2.3.
19Zadanie 2.9.
19Zadanie 3.1.
27Zadanie 3.2.
27Zadanie 3.3.
27Zadanie 3.4.
27Zadanie 3.5.
27Zadanie 3.6.
27Zadanie 3.7.
28Zadanie 3.8.
28Zadanie 3.9.
28Zadanie 3.10.
28Zadanie 3.11.
28Zadanie 3.12.
28Zadanie 3.13.
28Zadanie 3.14.
29Zadanie 3.16.
29Zadanie 4.1.
33Zadanie 4.2.
33Zadanie 4.3.
34Zadanie 4.4.
34Zadanie 4.5.
34Zadanie 4.6.
34Zadanie 4.9.
34Zadanie 4.11.
35Zadanie 4.12.
35Zadanie 5.2.
39Zadanie 5.3.
40Zadanie 5.4.
40Zadanie 5.5.
40Zadanie 5.7.
40Zadanie 5.8.
40Zadanie 6.1.
48Zadanie 6.2.
48Zadanie 6.3.
48Zadanie 6.4.
49Zadanie 6.12.
50Zadanie 6.13.
50Zadanie 6.15.
50Zadanie 23.
55Zadanie 24.
55Zadanie 25.
55Zadanie 26.
56Zadanie 27.
56Zadanie 29.
56Zadanie 30.
56Zadanie 31.
56Zadanie 33.
57Zadanie 46.
58Zadanie 47.
58Zadanie 48.
58Zadanie 50.
58