W tym zadaniu podaj wzór na pole trójkąta AKL, zapisany w postaci funkcji jego wysokości h, następnie narysuj wykres tej funkcji i wyznacz jaka będzie wysokość trójkąta o największym polu. Trójkąt AKL został wpisany w kwadrat ABCD o bokach równych 2 tak, że wysokość trójkąta zawarta jest w przekątnej AC kwadratu.
ponieważ
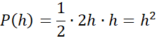
Zatem
Dziedzina:
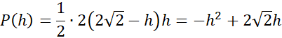
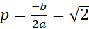
Przypadek drugi
ponieważ
Dziedzina:
Odp.: Pole jest największe, gdy funkcja ma wartość największa z rysunku widać, że największa wartość jest dla
Dla pierwszego i drugiego przypadku narysuj rysunki pomocnicze, zapisz dla każdego odpowiednią funkcje i wyznacz jej dziedzinę. Z 1 i 2 przypadku ułóż układ równań
Zadanie 1.5.
11Zadanie 1.6.
11Zadanie 1.7.
11Zadanie 1.8.
11Zadanie 1.10.
11Zadanie 1.12.
11Zadanie 1.13.
11Zadanie 2.2.
18Zadanie 2.3.
19Zadanie 2.9.
19Zadanie 3.1.
27Zadanie 3.2.
27Zadanie 3.3.
27Zadanie 3.4.
27Zadanie 3.5.
27Zadanie 3.6.
27Zadanie 3.7.
28Zadanie 3.8.
28Zadanie 3.9.
28Zadanie 3.10.
28Zadanie 3.11.
28Zadanie 3.12.
28Zadanie 3.13.
28Zadanie 3.14.
29Zadanie 3.16.
29Zadanie 4.1.
33Zadanie 4.2.
33Zadanie 4.3.
34Zadanie 4.4.
34Zadanie 4.5.
34Zadanie 4.6.
34Zadanie 4.9.
34Zadanie 4.11.
35Zadanie 4.12.
35Zadanie 5.2.
39Zadanie 5.3.
40Zadanie 5.4.
40Zadanie 5.5.
40Zadanie 5.7.
40Zadanie 5.8.
40Zadanie 6.1.
48Zadanie 6.2.
48Zadanie 6.3.
48Zadanie 6.4.
49Zadanie 6.12.
50Zadanie 6.13.
50Zadanie 6.15.
50Zadanie 23.
55Zadanie 24.
55Zadanie 25.
55Zadanie 26.
56Zadanie 27.
56Zadanie 29.
56Zadanie 30.
56Zadanie 31.
56Zadanie 33.
57Zadanie 46.
58Zadanie 47.
58Zadanie 48.
58Zadanie 50.
58