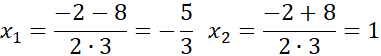
W tym zadaniu narysuj wykresy podanych funkcji f(x) = 3x2 + 2 g(x) = 5. Odczytaj z rysunku rozwiązanie dla równania f(x) = g(x) oraz oblicz rozwiązanie metodą rachunkową i sprawdź czy oba wyniki różnią się od siebie.
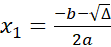
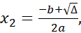
Metoda rachunkowa:
Aby rozwiązać to zadanie wykonaj następujące kroki:
1. Oblicz miejsca zerowe funkcji podstawiając za y 0.
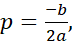
2. Oblicz współrzędne wierzchołka paraboli
3. Znajdź dwa punkty, które są położone symetrycznie względem wierzchołka.
4. Wykresu funkcji g(x) jest prostą równoległą do osi x.
5. Narysuj wykres obu funkcji w jednym układzie współrzędnych.
6. Odczytaj współrzędne wspólnych punktów obu funkcji. Są one rozwiązaniem układu równań.
Sprawdzenie metodą rachunkowa polega na ułożeniu równania
Zadanie 1.5.
11Zadanie 1.6.
11Zadanie 1.7.
11Zadanie 1.8.
11Zadanie 1.10.
11Zadanie 1.12.
11Zadanie 1.13.
11Zadanie 2.2.
18Zadanie 2.3.
19Zadanie 2.9.
19Zadanie 3.1.
27Zadanie 3.2.
27Zadanie 3.3.
27Zadanie 3.4.
27Zadanie 3.5.
27Zadanie 3.6.
27Zadanie 3.7.
28Zadanie 3.8.
28Zadanie 3.9.
28Zadanie 3.10.
28Zadanie 3.11.
28Zadanie 3.12.
28Zadanie 3.13.
28Zadanie 3.14.
29Zadanie 3.16.
29Zadanie 4.1.
33Zadanie 4.2.
33Zadanie 4.3.
34Zadanie 4.4.
34Zadanie 4.5.
34Zadanie 4.6.
34Zadanie 4.9.
34Zadanie 4.11.
35Zadanie 4.12.
35Zadanie 5.2.
39Zadanie 5.3.
40Zadanie 5.4.
40Zadanie 5.5.
40Zadanie 5.7.
40Zadanie 5.8.
40Zadanie 6.1.
48Zadanie 6.2.
48Zadanie 6.3.
48Zadanie 6.4.
49Zadanie 6.12.
50Zadanie 6.13.
50Zadanie 6.15.
50Zadanie 23.
55Zadanie 24.
55Zadanie 25.
55Zadanie 26.
56Zadanie 27.
56Zadanie 29.
56Zadanie 30.
56Zadanie 31.
56Zadanie 33.
57Zadanie 46.
58Zadanie 47.
58Zadanie 48.
58Zadanie 50.
58