W tym zadaniu wyznacz współczynniki a, b i c funkcji y = ax2 + bx + c widząc, że jej wykresem jest parabola przechodząca przez punkty (—3, —3) i (0, —9), mająca wierzchołek w punkcie, którego pierwsza współrzędna jest równa —2.
(0, -9) -> c = -9
b = -8
a = -2
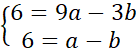
Znając punkt przecięcia z osią y możesz wyznaczyć współczynnik c. Funkcja jest symetryczne względem wierzchołka o współrzędnej x-owej równej -2, dlatego możesz skorzystać z punktu (-3, -3) i wyznaczyć nowy, symetryczny do niego. Punkt symetryczny do (-3, -3) względem wierzchołka ma współrzędne (-1, -3). Utwórz układ równań dla punktów o znanych współrzędnych i rozwiąż je, a otrzymasz wartość współczynników a i b.
Zadanie 1.5.
11Zadanie 1.6.
11Zadanie 1.7.
11Zadanie 1.8.
11Zadanie 1.10.
11Zadanie 1.12.
11Zadanie 1.13.
11Zadanie 2.2.
18Zadanie 2.3.
19Zadanie 2.9.
19Zadanie 3.1.
27Zadanie 3.2.
27Zadanie 3.3.
27Zadanie 3.4.
27Zadanie 3.5.
27Zadanie 3.6.
27Zadanie 3.7.
28Zadanie 3.8.
28Zadanie 3.9.
28Zadanie 3.10.
28Zadanie 3.11.
28Zadanie 3.12.
28Zadanie 3.13.
28Zadanie 3.14.
29Zadanie 3.16.
29Zadanie 4.1.
33Zadanie 4.2.
33Zadanie 4.3.
34Zadanie 4.4.
34Zadanie 4.5.
34Zadanie 4.6.
34Zadanie 4.9.
34Zadanie 4.11.
35Zadanie 4.12.
35Zadanie 5.2.
39Zadanie 5.3.
40Zadanie 5.4.
40Zadanie 5.5.
40Zadanie 5.7.
40Zadanie 5.8.
40Zadanie 6.1.
48Zadanie 6.2.
48Zadanie 6.3.
48Zadanie 6.4.
49Zadanie 6.12.
50Zadanie 6.13.
50Zadanie 6.15.
50Zadanie 23.
55Zadanie 24.
55Zadanie 25.
55Zadanie 26.
56Zadanie 27.
56Zadanie 29.
56Zadanie 30.
56Zadanie 31.
56Zadanie 33.
57Zadanie 46.
58Zadanie 47.
58Zadanie 48.
58Zadanie 50.
58