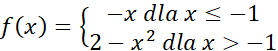
W tym zadaniu rozważ prawdziwość podanych zdań. Wiadomym jest, że dana jest pewna funkcja
A. Równanie f(x) = m ma dla dowolnej wartości m co najmniej jedno rozwiązanie. – prawda
B. Dla
C. Równanie f(x) = m ma dwa rozwiązania tylko dla m = 1. – fałsz
Oblicz miejsca zerowe sprowadzając funkcje do najprostszej postaci i wyliczając x:
-x = 0
x = 0 -> nie należy do dziedziny
dla x > -1:
x = 2 i x = -2
Następnie współrzędne wierzchołka paraboli ze wzorów
Punkt przecięcia z osią y wyznacza współczynnik c, a więc
Wartość funkcji na końcu przedziału oblicz podstawiając za x wartość na końcach przedziału. Dla funkcji liniowej wyznacz dwa punkty przez które przechodzi prosta, w tym celu np. podstawiamy za x koniec przedziału. Następnie narysuj wykres funkcji. Ilość rozwiązań równania
Zadanie 1.5.
11Zadanie 1.6.
11Zadanie 1.7.
11Zadanie 1.8.
11Zadanie 1.10.
11Zadanie 1.12.
11Zadanie 1.13.
11Zadanie 2.2.
18Zadanie 2.3.
19Zadanie 2.9.
19Zadanie 3.1.
27Zadanie 3.2.
27Zadanie 3.3.
27Zadanie 3.4.
27Zadanie 3.5.
27Zadanie 3.6.
27Zadanie 3.7.
28Zadanie 3.8.
28Zadanie 3.9.
28Zadanie 3.10.
28Zadanie 3.11.
28Zadanie 3.12.
28Zadanie 3.13.
28Zadanie 3.14.
29Zadanie 3.16.
29Zadanie 4.1.
33Zadanie 4.2.
33Zadanie 4.3.
34Zadanie 4.4.
34Zadanie 4.5.
34Zadanie 4.6.
34Zadanie 4.9.
34Zadanie 4.11.
35Zadanie 4.12.
35Zadanie 5.2.
39Zadanie 5.3.
40Zadanie 5.4.
40Zadanie 5.5.
40Zadanie 5.7.
40Zadanie 5.8.
40Zadanie 6.1.
48Zadanie 6.2.
48Zadanie 6.3.
48Zadanie 6.4.
49Zadanie 6.12.
50Zadanie 6.13.
50Zadanie 6.15.
50Zadanie 23.
55Zadanie 24.
55Zadanie 25.
55Zadanie 26.
56Zadanie 27.
56Zadanie 29.
56Zadanie 30.
56Zadanie 31.
56Zadanie 33.
57Zadanie 46.
58Zadanie 47.
58Zadanie 48.
58Zadanie 50.
58