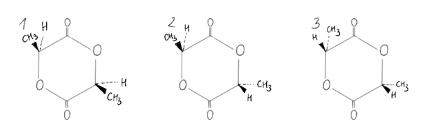
W tym zadaniu należy podać wzory stereoizomerów laktydu.
Laktyd posiada trzy stereoizomery. Różnią się one położeniem podstawników przed lub za płaszczyzną w przestrzeni.
Zadanie 10.1.
Zadanie 10.2.
Zadanie 10.3.
Zadanie 10.4.
Zadanie 10.5.
Zadanie 10.6.
Zadanie 10.7.
Zadanie 10.8.
Zadanie 10.9.
Podpunkt a)
Podpunkt b)
Zadanie 10.10.
Podpunkt c)
Podpunkt d)
Podpunkt e)
Zadanie 10.11.
Zadanie 10.12.
Zadanie 10.13.
Zadanie 10.14.
Podpunkt f)
Zadanie 10.15.
Zadanie 11.1.
Zadanie 11.2.
Zadanie 11.3.
Zadanie 11.4.
Zadanie 11.5.
Zadanie 11.6.
Zadanie 11.7.
Zadanie 11.8.
Zadanie 11.9.
Zadanie 11.10.
Zadanie 11.11.
Zadanie 11.12.
Zadanie 11.13.
Zadanie 11.14.
Zadanie zadanie 12.1.
Zadanie zadanie 12.2.
Zadanie zadanie 12.3.
Zadanie zadanie 12.4.
Zadanie zadanie 12.5.
Zadanie zadanie 12.6.
Zadanie zadanie 12.7.
Zadanie zadanie 12.8.
Zadanie zadanie 12.9.
Zadanie zadanie 12.10.
Zadanie zadanie 12.11.
Zadanie zadanie 12.12.
Zadanie zadanie 12.13.
Zadanie zadanie 13.1.
Zadanie zadanie 13.2.
Zadanie zadanie 13.3.
Zadanie zadanie 13.4.
Zadanie zadanie 13.5.
Zadanie zadanie 13.6.
Zadanie zadanie 13.7.
Zadanie zadanie 13.8.
Zadanie zadanie 13.9.
Zadanie zadanie 13.10.
Zadanie zadanie 13.11.
Zadanie zadanie 13.12.
Zadanie zadanie 13.13.
Zadanie zadanie 13.14.
Zadanie zadanie 14.1.
Zadanie zadanie 14.2.
Zadanie zadanie 14.3.
Zadanie zadanie 14.4.
Zadanie zadanie 14.5.
Zadanie zadanie 14.6.
Zadanie zadanie 14.7.
Zadanie zadanie 14.8.
Zadanie zadanie 14.9.
Zadanie zadanie 14.10.
Zadanie zadanie 14.11.
Zadanie zadanie 14.12.
Zadanie zadanie 14.13.
Zadanie zadanie 14.14.
Zadanie zadanie 15.1.
Zadanie zadanie 15.2.
Zadanie zadanie 15.3.
Zadanie zadanie 15.4.
Zadanie zadanie 15.5.