Masa całkowita roztworu to masa wody Słotwinki z dodatkiem roztworu azotanu(V) srebra:
Liczba moli jonów srebra wynosi:
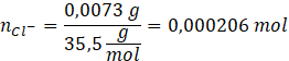
Natomiast liczba moli jonów chlorkowych wynosi:
Liczba moli jonów chlorkowych w podanej objętości wody:
Iloczyn rozpuszczalności soli wynosi:
Porównajmy tę wartość z podaną w zadaniu:
Oznacza to, że strąci się osad soli.
Przeprowadźmy te same operacje dla drugiej soli – AgSO4.
Liczba moli jonów srebra wynosi:
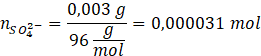
Liczba moli jonów siarczanowych(VI) wynosi:
Liczba moli jonów siarczanowych w podanej objętości wody:
Iloczyn rozpuszczalności soli wynosi:
Porównajmy tę wartość z podaną w zadaniu:
Oznacza to, że nie strąci się osad soli.
Aby rozwiązać to zadanie, przypomnijmy sobie, czym jest iloczyn rozpuszczalności. Jest to wartość, która stanowi iloczyn stężeń jonów wchodzących w skład roztworu.