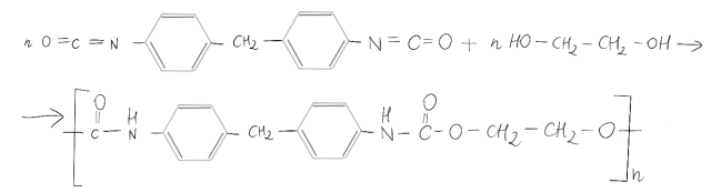
W tym zadaniu należy podać równanie reakcji, w której powstaje poliuretan.
Poliuretan to polimer, który powstaje w wyniku polimeryzacji addycyjnej związków będących izocyjanianami z poliolami.
Zadanie 10.1.
Zadanie 10.2.
Zadanie 10.3.
Zadanie 10.4.
Zadanie 10.5.
Zadanie 10.6.
Zadanie 10.7.
Zadanie 10.8.
Zadanie 10.9.
Podpunkt a)
Podpunkt b)
Zadanie 10.10.
Podpunkt c)
Podpunkt d)
Podpunkt e)
Zadanie 10.11.
Zadanie 10.12.
Zadanie 10.13.
Zadanie 10.14.
Podpunkt f)
Zadanie 10.15.
Zadanie 11.1.
Zadanie 11.2.
Zadanie 11.3.
Zadanie 11.4.
Zadanie 11.5.
Zadanie 11.6.
Zadanie 11.7.
Zadanie 11.8.
Zadanie 11.9.
Zadanie 11.10.
Zadanie 11.11.
Zadanie 11.12.
Zadanie 11.13.
Zadanie 11.14.
Zadanie zadanie 12.1.
Zadanie zadanie 12.2.
Zadanie zadanie 12.3.
Zadanie zadanie 12.4.
Zadanie zadanie 12.5.
Zadanie zadanie 12.6.
Zadanie zadanie 12.7.
Zadanie zadanie 12.8.
Zadanie zadanie 12.9.
Zadanie zadanie 12.10.
Zadanie zadanie 12.11.
Zadanie zadanie 12.12.
Zadanie zadanie 12.13.
Zadanie zadanie 13.1.
Zadanie zadanie 13.2.
Zadanie zadanie 13.3.
Zadanie zadanie 13.4.
Zadanie zadanie 13.5.
Zadanie zadanie 13.6.
Zadanie zadanie 13.7.
Zadanie zadanie 13.8.
Zadanie zadanie 13.9.
Zadanie zadanie 13.10.
Zadanie zadanie 13.11.
Zadanie zadanie 13.12.
Zadanie zadanie 13.13.
Zadanie zadanie 13.14.
Zadanie zadanie 14.1.
Zadanie zadanie 14.2.
Zadanie zadanie 14.3.
Zadanie zadanie 14.4.
Zadanie zadanie 14.5.
Zadanie zadanie 14.6.
Zadanie zadanie 14.7.
Zadanie zadanie 14.8.
Zadanie zadanie 14.9.
Zadanie zadanie 14.10.
Zadanie zadanie 14.11.
Zadanie zadanie 14.12.
Zadanie zadanie 14.13.
Zadanie zadanie 14.14.
Zadanie zadanie 15.1.
Zadanie zadanie 15.2.
Zadanie zadanie 15.3.
Zadanie zadanie 15.4.
Zadanie zadanie 15.5.