W tym zadaniu należy podzielić podane zasady azotowe na purynowe i pirymidynowe.
Rozwiązanie
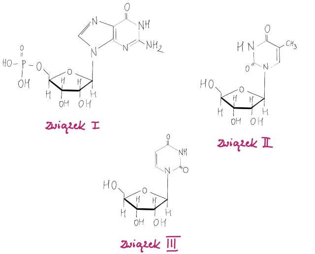
Związek I to zasada purynowa.
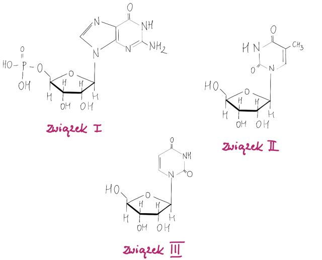
Związek II to zasada pirymidynowa.
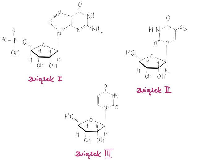
Związek III to zasada pirymidynowa.
Wyjaśnienie
Zasady purynowe i pirymidowe to pochodne pirymidyny i puryny. Zasady purynowe to między innymi adenina oraz guanina, a zasady pirymidynowe to cytozyna, uracyl i tymina.