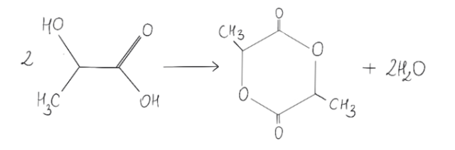
W tym zadaniu należy podać równania reakcji kondensacji dwóch cząsteczek kwasu mlekowego prowadzących do powstania laktydu.
Równanie reakcji kondensacji:
W reakcji kondensacji dwóch cząsteczek kwasu mlekowego powstaje laktyd oraz dwie cząsteczki wody.
Zadanie 10.1.
Zadanie 10.2.
Zadanie 10.3.
Zadanie 10.4.
Zadanie 10.5.
Zadanie 10.6.
Zadanie 10.7.
Zadanie 10.8.
Zadanie 10.9.
Podpunkt a)
Podpunkt b)
Zadanie 10.10.
Podpunkt c)
Podpunkt d)
Podpunkt e)
Zadanie 10.11.
Zadanie 10.12.
Zadanie 10.13.
Zadanie 10.14.
Podpunkt f)
Zadanie 10.15.
Zadanie 11.1.
Zadanie 11.2.
Zadanie 11.3.
Zadanie 11.4.
Zadanie 11.5.
Zadanie 11.6.
Zadanie 11.7.
Zadanie 11.8.
Zadanie 11.9.
Zadanie 11.10.
Zadanie 11.11.
Zadanie 11.12.
Zadanie 11.13.
Zadanie 11.14.
Zadanie zadanie 12.1.
Zadanie zadanie 12.2.
Zadanie zadanie 12.3.
Zadanie zadanie 12.4.
Zadanie zadanie 12.5.
Zadanie zadanie 12.6.
Zadanie zadanie 12.7.
Zadanie zadanie 12.8.
Zadanie zadanie 12.9.
Zadanie zadanie 12.10.
Zadanie zadanie 12.11.
Zadanie zadanie 12.12.
Zadanie zadanie 12.13.
Zadanie zadanie 13.1.
Zadanie zadanie 13.2.
Zadanie zadanie 13.3.
Zadanie zadanie 13.4.
Zadanie zadanie 13.5.
Zadanie zadanie 13.6.
Zadanie zadanie 13.7.
Zadanie zadanie 13.8.
Zadanie zadanie 13.9.
Zadanie zadanie 13.10.
Zadanie zadanie 13.11.
Zadanie zadanie 13.12.
Zadanie zadanie 13.13.
Zadanie zadanie 13.14.
Zadanie zadanie 14.1.
Zadanie zadanie 14.2.
Zadanie zadanie 14.3.
Zadanie zadanie 14.4.
Zadanie zadanie 14.5.
Zadanie zadanie 14.6.
Zadanie zadanie 14.7.
Zadanie zadanie 14.8.
Zadanie zadanie 14.9.
Zadanie zadanie 14.10.
Zadanie zadanie 14.11.
Zadanie zadanie 14.12.
Zadanie zadanie 14.13.
Zadanie zadanie 14.14.
Zadanie zadanie 15.1.
Zadanie zadanie 15.2.
Zadanie zadanie 15.3.
Zadanie zadanie 15.4.
Zadanie zadanie 15.5.