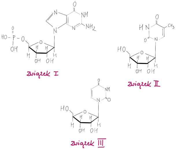
W tym zadaniu należy wybrać, który związek pochodzi od rybozy, a który od deoksyrybozy.
Związek I to ryboza.
Związek II to deoksyryboza.
Związek III to ryboza.
Nukleotydy zawierające w swoim składzie D-2-deoksyrybozę zawierają w nazwie przedrostek deoksy-.
Zadanie 10.1.
Zadanie 10.2.
Zadanie 10.3.
Zadanie 10.4.
Zadanie 10.5.
Zadanie 10.6.
Zadanie 10.7.
Zadanie 10.8.
Zadanie 10.9.
Podpunkt a)
Podpunkt b)
Zadanie 10.10.
Podpunkt c)
Podpunkt d)
Podpunkt e)
Zadanie 10.11.
Zadanie 10.12.
Zadanie 10.13.
Zadanie 10.14.
Podpunkt f)
Zadanie 10.15.
Zadanie 11.1.
Zadanie 11.2.
Zadanie 11.3.
Zadanie 11.4.
Zadanie 11.5.
Zadanie 11.6.
Zadanie 11.7.
Zadanie 11.8.
Zadanie 11.9.
Zadanie 11.10.
Zadanie 11.11.
Zadanie 11.12.
Zadanie 11.13.
Zadanie 11.14.
Zadanie zadanie 12.1.
Zadanie zadanie 12.2.
Zadanie zadanie 12.3.
Zadanie zadanie 12.4.
Zadanie zadanie 12.5.
Zadanie zadanie 12.6.
Zadanie zadanie 12.7.
Zadanie zadanie 12.8.
Zadanie zadanie 12.9.
Zadanie zadanie 12.10.
Zadanie zadanie 12.11.
Zadanie zadanie 12.12.
Zadanie zadanie 12.13.
Zadanie zadanie 13.1.
Zadanie zadanie 13.2.
Zadanie zadanie 13.3.
Zadanie zadanie 13.4.
Zadanie zadanie 13.5.
Zadanie zadanie 13.6.
Zadanie zadanie 13.7.
Zadanie zadanie 13.8.
Zadanie zadanie 13.9.
Zadanie zadanie 13.10.
Zadanie zadanie 13.11.
Zadanie zadanie 13.12.
Zadanie zadanie 13.13.
Zadanie zadanie 13.14.
Zadanie zadanie 14.1.
Zadanie zadanie 14.2.
Zadanie zadanie 14.3.
Zadanie zadanie 14.4.
Zadanie zadanie 14.5.
Zadanie zadanie 14.6.
Zadanie zadanie 14.7.
Zadanie zadanie 14.8.
Zadanie zadanie 14.9.
Zadanie zadanie 14.10.
Zadanie zadanie 14.11.
Zadanie zadanie 14.12.
Zadanie zadanie 14.13.
Zadanie zadanie 14.14.
Zadanie zadanie 15.1.
Zadanie zadanie 15.2.
Zadanie zadanie 15.3.
Zadanie zadanie 15.4.
Zadanie zadanie 15.5.