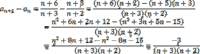
W tym zadaniu sprawdź monotoniczność ciągu
.
dla
Odpowiedź: Ciąg jest malejący.
Rozwiązując to zadanie zbadaj monotoniczność podanego ciągu. W pierwszej kolejności wyznacz kolejny wyraz ciągu
. Otrzymując wspomniany wyraz odejmij od niego
. Dzięki temu działaniu jesteś w stanie wskazać monotoniczność wskazanego ciągu.
Zadanie 1.5.
199Zadanie 1.6.
199Zadanie 1.7.
199Zadanie 1.9.
200Zadanie 1.10.
200Zadanie 1.11.
200Zadanie 1.12.
200Zadanie 1.13.
200Zadanie 1.14.
201Zadanie 1.18.
201Zadanie 1.19.
201Zadanie 1.20.
201Zadanie 1.21.
201Zadanie 1.22.
202Zadanie 1.24.
202Zadanie 1.26.
202Zadanie 1.27.
202Zadanie 1.28.
202Zadanie 1.30.
202Zadanie 1.31.
203Zadanie 1.32.
203Zadanie 1.33.
203Zadanie 1.34.
203Zadanie 2.6.
211Zadanie 2.7.
212Zadanie 2.8.
212Zadanie 2.9.
212Zadanie 2.10.
212Zadanie 2.11.
212Zadanie 2.21.
213Zadanie 2.24.
213Zadanie 2.26.
214Zadanie 2.27.
214Zadanie 2.29.
214Zadanie 2.30.
214Zadanie 2.35.
214Zadanie 3.5.
220Zadanie 3.6.
220Zadanie 3.8.
221Zadanie 3.9.
221Zadanie 3.13.
221Zadanie 3.16.
221Zadanie 3.17.
222Zadanie 3.31.
223Zadanie 4.6.
231Zadanie 4.7.
232Zadanie 4.8.
232Zadanie 4.9.
232Zadanie 4.10.
232Zadanie 4.12.
232Zadanie 4.13.
232Zadanie 4.22.
233Zadanie 5.4.
238Zadanie 5.5.
239Zadanie 5.7.
239Zadanie 5.8.
239Zadanie 5.18.
240Zadanie 5.19.
241Zadanie 6.6.
253Zadanie 6.14.
254Zadanie 6.19.
255Zadanie 6.21.
255Zadanie 6.22.
255Zadanie 3.
256Zadanie 37.
261Zadanie 38.
261Zadanie 40.
262Zadanie 41.
262Zadanie 42.
262Zadanie 43.
262Zadanie 47.
262Zadanie 53.
263Zadanie 60.
264Zadanie 73.
265Zadanie 86.
266