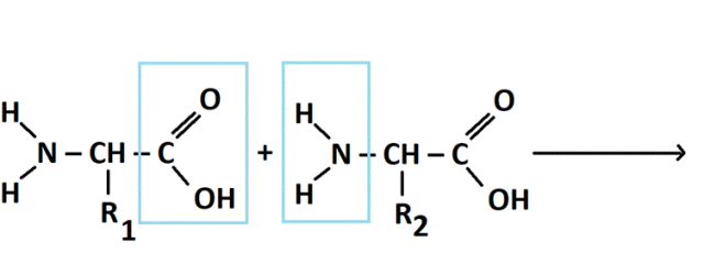
W tym ćwiczeniu twoim celem jest zaznaczenie – na obu wzorach aminokwasów w zapisie reakcji – grup chemicznych, które w reakcji ze sobą wytwarzają wiązanie peptydowe.
Rozwiązanie
Źródło: opracowanie własne
Wyjaśnienie
Wiązanie peptydowe powstaje pomiędzy grupą aminową jednego aminokwasu a grupą karboksylową drugiego.
Produktem takiej reakcji jest peptyd widoczny na schemacie.