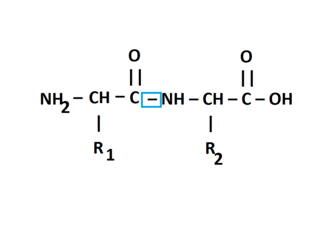
W tym ćwiczeniu twoim celem jest podpisanie wiązania chemicznego, które łączy ze sobą dwa aminokwasy i zaznaczenie go za pomocą strzałki.
Źródło: opracowanie własne
Takie wiązanie nazywa się wiązaniem peptydowym.
Wiązanie peptydowe powstaje pomiędzy grupą aminową jednego aminokwasu a grupą karboksylową drugiego.
Pytanie 1
Ćwiczenie 2
Ćwiczenie 3
Ćwiczenie 4
Ćwiczenie 5
Ćwiczenie 6
Ćwiczenie 7
Ćwiczenie 8
Ćwiczenie 1
Pytanie 2
Pytanie 4
Pytanie 6
Podpunkt a)
Podpunkt b)
Pytanie 5
Podpunkt c)
Pytanie 3
Pytanie 7
Pytanie 8
Podpunkt d)
Zadanie 6