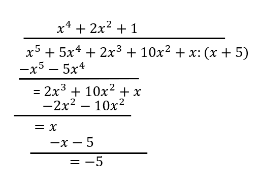
W tym zadaniu oblicz iloraz wyrażeń W(x) = x5 + 5x4 + 2x3 + 10x2 + x przez dwumian x + 5.
(x5 + 5x4 + 2x3 + 10x2 + x) = (x + 5)(x4 + 2x2 + 1)–5
Wykonaj dzielenie wielomianów w słupku.
Zadanie 1.
264Zadanie 2.
264Zadanie 3.
265Zadanie 4.
265Zadanie 5.
265Zadanie 7.
265Zadanie 10.
265Ćwiczenie 1.
266Ćwiczenie 2.
267Zadanie 1.
269Zadanie 2.
269Zadanie 3.
269Zadanie 4.
269Zadanie 5.
269Zadanie 6.
269Zadanie 7.
269Zadanie 8.
269Zadanie 9.
269Zadanie 1.
272Zadanie 2.
272Zadanie 3.
272Zadanie 4.
272Zadanie 5.
272Zadanie 6.
272Zadanie 7.
272Ćwiczenie 3.
274Ćwiczenie 4.
274Ćwiczenie 6.
276Ćwiczenie 7.
277Zadanie 1.
277Zadanie 2.
278Zadanie 3.
278Zadanie 4.
278Zadanie 5.
278Zadanie 6.
278Zadanie 7.
278Zadanie 8.
278Zadanie 9.
278Zadanie 1.
283Zadanie 3.
283Zadanie 4.
284Zadanie 5.
284Zadanie 13.
284Ćwiczenie 4.
286Zadanie 1.
290Zadanie 2.
290Zadanie 3.
290Zadanie 4.
290Zadanie 5.
290Zadanie 6.
290Ćwiczenie 4.
294Zadanie 1.
295Zadanie 2.
296Zadanie 3.
296Zadanie 4.
296Zadanie 5.
296Zadanie 6.
296Zadanie 7.
296Zadanie 8.
296Zadanie 9.
296Zadanie 10.
296Zadanie 1.
301Zadanie 2.
301Zadanie 3.
301Zadanie 6.
302Zadanie 7.
302Zadanie 9.
302Zadanie 11.
302Zadanie 12.
302Zadanie 13.
302Ćwiczenie 2.
304Ćwiczenie 3.
305Zadanie 1.
306Zadanie 2.
306Zadanie 3.
307Zadanie 4.
307Zadanie 5.
307Zadanie 6.
307Zadanie 7.
307Zadanie 8.
307Zadanie 9.
307Zadanie 10.
307Ćwiczenie 1.
308Zadanie 1.
310Zadanie 2.
310Zadanie 3.
311Zadanie 4.
311Zadanie 5.
311Zadanie 6.
311Zadanie 7.
311Zadanie 8.
311Zadanie 9.
311Zadanie 10.
311Zadanie 17.
315Zadanie 18.
315Zadanie 24.
315Zadanie 26.
315Zadanie 28.
315