Zadanie

Znaki ? zastąp odpowiednimi wartościami, jeśli w trójkącie ABC boki są przeciwległe odpowiednio do kątów .

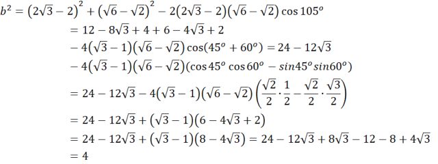
Rozwiązanie

Wyjaśnienie

Zadania z tego działu
1. Trygonometria
7