Udowodnij, że dla każdej liczby całkowitej liczba jest podzielna przez 36.
Rozwiązanie
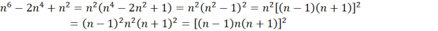
Zauważ, że zapis oznacza iloczyn trzech kolejnych liczb całkowitych, a wśród trzech kolejnych liczb całkowita jest zawsze jedna parzysta i jedna podzielna przez 3, więc ich iloczyn na pewno dzieli się przez 6 . Zaś kwadrat podanej liczby będzie zawsze podzielny przez 36, ponieważ .