Wykaż, , że dla dowolnych liczb rzeczywistych i prawdziwa jest nierówność: .
Rozwiązanie
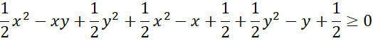
Kwadrat różnicy dwóch dowolnych liczb rzeczywistych jest zawsze nieujemny, więc suma trzech liczb nieujemnych jest zawsze nieujemna.
To kończy dowód.
Wyjaśnienie
Przenieś wszystkie wartości na jedną stronę nierówności, a następnie wyrażenie z i wyrazem wolnym rozbij na takie wartości, aby powstały trzy rozwinięcia wzorów skróconego mnożenia na kwadrat różnicy.