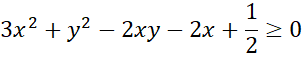
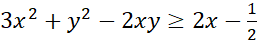
Wykaż, że podana nierówność jest prawdziwa dla dowolnych liczb rzeczywistych i . .
Rozwiązanie
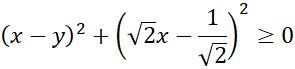
Kwadrat różnicy dwóch dowolnych liczb rzeczywistych jest zawsze nieujemny, więc suma dwóch liczb nieujemnych jest zawsze nieujemna.
To kończy dowód.
Wyjaśnienie
Przenieś wszystkie wartości na jedną stronę nierówności, a następnie wyrażenie z rozbij na takie wartości, aby powstały dwa rozwinięcia wzorów skróconego mnożenia na kwadrat różnicy.