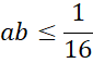
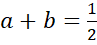
Wykaż, że dla dowolnych liczb dodatnich i takich, że , prawdziwa jest podana nierówność. Skorzystaj z zależności między średnią arytmetyczną a średnią geometryczną dwóch liczb. .
Rozwiązanie
To kończy dowód.
Wyjaśnienie
Ze wzoru na zależność między średnią arytmetyczną a średnią geometryczną: wyznacz wartość wyrażenia . Skorzystaj z wartości równania podanego w treści zadania.