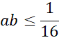
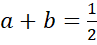
Wykaż, że dla dowolnych liczb dodatnich i takich, że , prawdziwa jest podana nierówność. Skorzystaj z zależności między średnią arytmetyczną a średnią geometryczną dwóch liczb. .
Rozwiązanie
To kończy dowód.
Wyjaśnienie
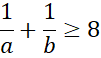
Na podstawie podpunktu a) wiesz, że ze wzoru na zależność między średnią arytmetyczną a średnią geometryczną: , wynika, że . Więc aby udowodnić podaną nierówność doprowadź ją do uzyskania takiej postaci. Skorzystaj z wartości równania podanego w treści zadania.