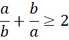
Udowodnij, że dla dowolnych liczb rzeczywistych i takich, że , prawdziwa jest nierówność .
Kwadrat różnicy dwóch dowolnych liczb rzeczywistych jest zawsze nieujemny.
To kończy dowód.
Ćwiczenie 1
Ćwiczenie 2
Podpunkt a)
Podpunkt b)
Ćwiczenie 3
Ćwiczenie 4
Ćwiczenie 5
Zadanie 1
Zadanie 2
Zadanie 3
Zadanie 4
Zadanie 5
Zadanie 6
Zadanie 7
Zadanie 8
Podpunkt c)
Zadanie 9
Zadanie 10
Zadanie 11
Zadanie 12
Podpunkt d)