Udowodnij, że dla każdej liczby naturalnej liczba jest naturalna
Rozwiązanie
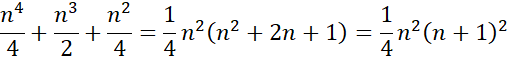
Zauważ, że zapis oznacza iloczyn dwóch kolejnych liczb naturalnych, a wśród nich jest zawsze jedna parzysta, więc ich iloczyn na pewno dzieli się przez 2. Zaś kwadrat podanej liczby będzie zawsze podzielny przez 4, ponieważ , więc liczba będzie zawsze naturalna (i 4 się ze sobą zawsze skrócą).