Udowodnij, że suma kwadratów trzech liczb naturalnych niepodzielnych przez 3 jest podzielna przez 3.
Rozwiązanie
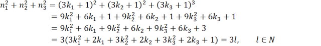
1 przypadek:
Wyrażenie oznacza, że liczba dzieli się przez 3.
2 przypadek:
Wyrażenie oznacza, że liczba dzieli się przez 3.
To kończy dowód.
Wyjaśnienie
Zauważ, że jeśli liczba naturalna dzieli się przez 3, to można ją zapisać w postaci , a jeśli nie dzieli się przez tą liczbę, to jest równa lub . Na tej podstawie oblicz wartość wyrażenia dla każdego z podanych przypadków i wyłącz przed nawias liczbę 3 w powstałym wyrażeniu.