Zadanie

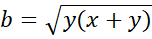
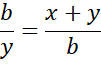
Wykaż, że , jeśli na rysunku przedstawiono trójkąt prostokątny o przyprostokątnej długości i przeciwprostokątnej długości , gdzie i są długościami odcinków, na które wysokość podzieliła przeciwprostokątną.

Rozwiązanie

Zadania z tego działu
Przykłady dowodów w matematyce
177
Dowód nie wprost – warto wiedzieć
181