Udowodnij, że , jeśli dany jest trójkąt ABC, punkt P jest punktem przecięcia prostej będącej przedłużeniem boku AB i dwusiecznej kąta zewnętrznego trójkąta, a odcinek BD jest równoległy do odcinka AC.
Rozwiązanie
- kąty naprzemianległe
Kąt półpełny ma miarę , stąd:
Suma miar kątów w trójkącie wynosi , więc:
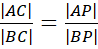
Oznacza to, że trójkąt BCD oraz BCR jest równoramienny, a trójkąt BDP jest podobny do trójkąta ACP, co daje: