Wykaż, że suma sześcianów dwóch liczb naturalnych podzielnych przez 3 dzieli się przez 27.
Rozwiązanie
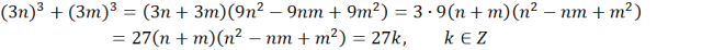
Wyrażenie oznacza, że uzyskana liczba dzieli się przez 27.
To kończy dowód.
Wyjaśnienie
Zauważ, że jeśli liczba naturalna dzieli się przez 3, to można ją zapisać w postaci . Następnie skorzystaj ze wzoru skróconego mnożenia na sumę sześcianów i wyłącz przed nawias największe możliwe liczby w powstałych wyrażeniach.