Wykaż, że suma sześcianów trzech kolejnych liczb naturalnych jest podzielna przez 3.
Rozwiązanie
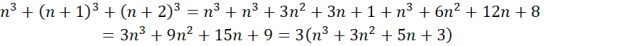
Iloczyn liczby 3 z dowolną liczbą naturalną jest podzielny przez 3.
To kończy dowód.
Wyjaśnienie
Skorzystaj z tego, że jeśli dana jest liczba naturalna , to każda kolejna liczba naturalna będzie o 1 większa od poprzedniej. Na podstawie wzoru na sześcian sumy zależność podaną w treści zadania przedstaw w najprostszej postaci, zredukuj jednomiany podobne i wyłącz liczbę 3 przed nawias.