Udowodnij, że dla każdej liczby naturalnej liczba jest naturalna
Rozwiązanie
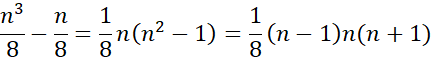
Zauważ, że zapis oznacza iloczyn trzech kolejnych liczb całkowitych, a wśród trzech kolejnych liczb całkowita dla nieparzystego jest zawsze jedna parzysta, jedna podzielna przez 3 i jedna podzielna przez 4, więc ich iloczyn na pewno dzieli się przez 8 , więc liczba będzie zawsze naturalna (i 8 się ze sobą zawsze skrócą).