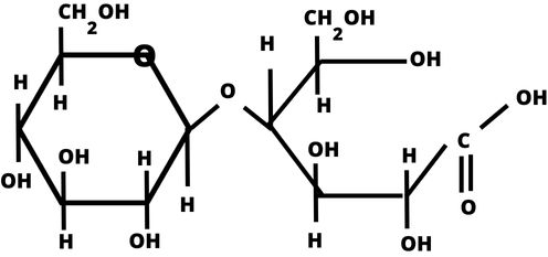
Podczas reakcji celobiozy z odczynnikiem Tollensa powstaje kwas (grupa aldehydowa zostaje utleniona do grupy karboksylowej).
Podczas reakcji wydziela się lustro srebrne, które jest skutkiem redukcji jonów srebra Ag+ do metalicznego srebra Ag przez glukozę.