Skul.pl
  • Opracowania zadań z podręczników
  • Chemia. Podręcznik. Zakres rozszerzony- rozwiązania i odpowiedzi
  • Podpunkt a)

Chemia. Podręcznik. Zakres rozszerzony- rozwiązania i odpowiedzi

Podręcznik, Wydawnictwo: Operon
Poprzednie

Ćwiczenie 3., a) - strona 40

Następne

Zadanie

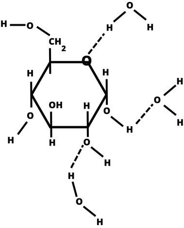
W tym zadaniu wykorzystaj wzór taflowy i narysuj w zeszycie schematycznie wiązania wodorowe, które mogą tworzyć się między cząsteczką α-D-glukopiranozy a cząsteczkami wody.

Rozwiązanie

Skul

Wyjaśnienie

Wiązania wodorowe – między atomem wodoru i atomem elektroujemnym zawierającym wolne pary elektronowe, np. tlenem lub azotem.

Poprzednie
Następne

Chemia - wybrane pytania

Zadanie 2., strona 180, Ciekawa chemia. Klasa 8. Podręcznik – rozwiązania i odpowiedzi
Zadanie 9.5.5., strona 72, Chemia. Klasa 8. Zbiór zadań- rozwiązania i odpowiedzi
Zadanie 17., strona 231, Chemia. Klasa 1. Podręcznik. Zakres rozszerzony - rozwiązania i odpowiedzi
Zadanie 2, strona 142, Chemia. Klasa 3. Podręcznik. Zakres podstawowy - rozwiązania i odpowiedzi
Ćwiczenie 5., strona 195, Chemia. Klasa 1. Podręcznik. Zakres rozszerzony - rozwiązania i odpowiedzi
Zadanie 9, strona 184, Chemia. Klasa 8. Podręcznik – rozwiązania i odpowiedzi
Zadanie podsumowujące 22., strona 351, Chemia. Klasa 2. Podręcznik. Zakres rozszerzony. Wersja 2023 - rozwiązania i odpowiedzi
Zadanie 1, strona 25, Chemia. Klasa 3. Podręcznik. Zakres podstawowy. Wersja 2024 - rozwiązania i odpowiedzi
Zadanie 2, strona 102, Chemia. Klasa 1. Podręcznik. Zakres podstawowy. Wersja 2022 - rozwiązania i odpowiedzi
Ćwiczenie **12.21., strona 247, Chemia. Klasa 3. Zbiór zadań. Zakres rozszerzony - rozwiązania i odpowiedzi
REKLAMA
Skul
Zadania z tego działu
II Cukry
27
Cukry proste
28

Ćwiczenie 1.

33

Ćwiczenie 2.

33

Ćwiczenie 3.

33

Podpunkt a)

33

Podpunkt b)

33

Ćwiczenie 4.

33

Ćwiczenie 5.

33

Ćwiczenie 6.

34

Ćwiczenie 7.

34

Ćwiczenie 8.

34
Właściwości i znaczenie cukrów prostych
35

Ćwiczenie 1.

40

Ćwiczenie 2.

40

Ćwiczenie 3.

40

Podpunkt a)

40

Podpunkt b)

40

Ćwiczenie 4.

41

Ćwiczenie 5.

41

Ćwiczenie 6.

41

Ćwiczenie 7.

41

Ćwiczenie 8.

41

Ćwiczenie 9.

41

Podpunkt a)

41

Podpunkt b)

41

Ćwiczenie 10.

41
Disacharydy
42

Ćwiczenie 1.

47

Ćwiczenie 2.

47

Ćwiczenie 3.

47

Podpunkt a)

47

Podpunkt b)

47

Ćwiczenie 4.

47

Ćwiczenie 5.

47

Ćwiczenie 6.

47

Ćwiczenie 7.

47

Podpunkt a)

47

Podpunkt b)

47

Ćwiczenie 8.

47
Polisacharydy
48

Ćwiczenie 1.

56

Ćwiczenie 2.

56

Ćwiczenie 3.

56

Ćwiczenie 4.

56

Podpunkt a)

56

Podpunkt b)

56

Podpunkt c)

56

Podpunkt d)

56

Ćwiczenie 5.

56

Ćwiczenie 6.

56

Ćwiczenie 7.

56

Ćwiczenie 8.

56
Sprawdź, czy umiesz!
57

Ćwiczenie 1.

57

Podpunkt a)

57

Podpunkt b)

57

Podpunkt c)

57

Ćwiczenie 2.

57

Podpunkt a)

57

Podpunkt b)

57

Podpunkt c)

57

Ćwiczenie 3.

58

Podpunkt a)

58

Podpunkt b)

58

Podpunkt c)

58

Podpunkt d)

58

Ćwiczenie 4.

58

Ćwiczenie 5.

58

Ćwiczenie 6.

58

Ćwiczenie 7.

58

Podpunkt a)

58

Podpunkt b)

58

Podpunkt c)

58

Podpunkt d)

58

Podpunkt e)

58

Ćwiczenie 8.

58

Ćwiczenie 9.

58
Pełny spis treści
Skul
Artboard 1
Skul.pl
  • Napisz do nas
  • FAQ
  • Mapa Serwisu
  • Google Play
  • App Store

Korzystanie z portalu oznacza akceptację Regulaminu.
Polityka prywatności. Ustawienia preferencji. Copyright: INTERIA.PL 1999-2023 Wszystkie prawa zastrzeżone.