Liczba reszt glukozowych w celulozie wynosi 2000.
Celulozę możemy zapisać wzorem:
Masę cząsteczkową wyznaczymy z układu okresowego pierwiastków:
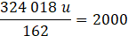
Skoro masa celulozy w drewnie wynosi 324 018 u, to możemy obliczyć liczbę reszt glukozowych:
Liczba reszt glukozowych w celulozie wynosi 2000.