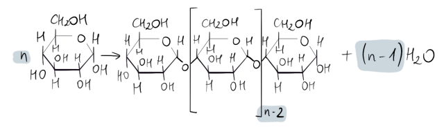
W tym zadaniu należy zapisać równanie reakcji kondensacji glukopiranozy.
Reakcja kondensacji -D-glukopiranozy prowadzi do powstania amyloza oraz cząsteczek wody.
Zadanie 6.1.
Zadanie 6.2.
Zadanie 6.3.
Zadanie 6.4.
Zadanie 6.5.
Zadanie 6.6.
Zadanie 6.7.
Zadanie 6.8.
Zadanie 6.9.
Zadanie 6.10.
Zadanie 6.11.
Zadanie 6.12.
Zadanie 6.13.
Zadanie 6.14.
Zadanie 6.15.
Zadanie 6.16.
Zadanie 6.17.
Zadanie 6.18.
Zadanie 6.19.
Zadanie 6.20.
Zadanie 6.21.
Zadanie 6.22.
Zadanie 6.23.
Zadanie 6.24.
Zadanie 6.25.
Zadanie 6.26.
Zadanie 6.27.
Zadanie 6.28.
Podpunkt a)
Podpunkt b)
Podpunkt c)
Zadanie 6.29.
Zadanie 6.30.
Zadanie 6.31.
Zadanie 6.32.
Zadanie 6.33.
Zadanie 6.34.
Podpunkt d)
Podpunkt e)
Podpunkt f)
Podpunkt g)
Zadanie 6.35.
Zadanie 6.36.
Zadanie 6.37.
Zadanie 6.38.
Zadanie 6.39.
Zadanie 6.40.
Zadanie 7.1.
Zadanie 7.2.
Zadanie 7.3.
Zadanie 7.4.
Zadanie 7.5.
Zadanie 7.6.
Zadanie 7.7.
Zadanie 7.8.
Zadanie 7.9.
Zadanie 7.10.
Zadanie 7.11.
Zadanie 7.12.
Zadanie 7.13.
Zadanie 7.14.
Zadanie 7.15.
Zadanie 7.16.
Zadanie 7.17.
Zadanie 7.18.
Zadanie 7.19.
Zadanie 7.20.
Zadanie 7.21.
Zadanie 7.22.
Zadanie 8.1.
Zadanie 8.2.
Zadanie 8.3.
Zadanie 8.4.
Zadanie 8.5.
Zadanie 8.6.
Zadanie 8.7.
Zadanie 8.8.
Zadanie 8.9.
Zadanie 8.10.
Zadanie 8.11.
Zadanie 8.12.
Zadanie 8.13.
Zadanie 8.14.
Zadanie 8.15.
Zadanie 8.16.
Zadanie 8.17.
Zadanie 8.18.
Zadanie 8.19.
Zadanie 8.20.
Zadanie 8.21.
Zadanie 9.1.
Zadanie 9.2.
Zadanie 9.3.
Zadanie 9.4.
Zadanie 9.5.
Zadanie 9.6.
Zadanie 9.7.
Zadanie 9.8.
Zadanie 9.9.
Zadanie 9.10.
Zadanie 9.11.