W tym zadaniu należy wybrać prawidłową odpowiedź.
Prawidłowa odpowiedź to:
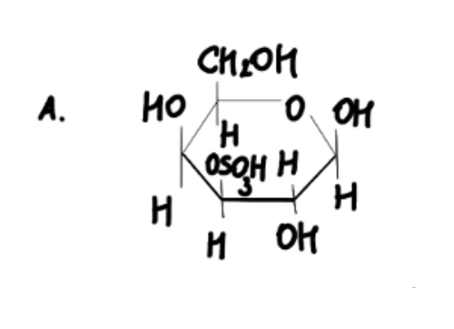
Wiązanie glikozydowe to rodzaj wiązania pomiędzy grupą hydroksylową przyłączoną do anomerycznego atomu węgla w jednej cząsteczce z grupą w drugiej cząsteczce. Tylko w cząsteczce A nie występuje to wiązanie.
Zadanie 6.1.
Zadanie 6.2.
Zadanie 6.3.
Zadanie 6.4.
Zadanie 6.5.
Zadanie 6.6.
Zadanie 6.7.
Zadanie 6.8.
Zadanie 6.9.
Zadanie 6.10.
Zadanie 6.11.
Zadanie 6.12.
Zadanie 6.13.
Zadanie 6.14.
Zadanie 6.15.
Zadanie 6.16.
Zadanie 6.17.
Zadanie 6.18.
Zadanie 6.19.
Zadanie 6.20.
Zadanie 6.21.
Zadanie 6.22.
Zadanie 6.23.
Zadanie 6.24.
Zadanie 6.25.
Zadanie 6.26.
Zadanie 6.27.
Zadanie 6.28.
Podpunkt a)
Podpunkt b)
Podpunkt c)
Zadanie 6.29.
Zadanie 6.30.
Zadanie 6.31.
Zadanie 6.32.
Zadanie 6.33.
Zadanie 6.34.
Podpunkt d)
Podpunkt e)
Podpunkt f)
Podpunkt g)
Zadanie 6.35.
Zadanie 6.36.
Zadanie 6.37.
Zadanie 6.38.
Zadanie 6.39.
Zadanie 6.40.
Zadanie 7.1.
Zadanie 7.2.
Zadanie 7.3.
Zadanie 7.4.
Zadanie 7.5.
Zadanie 7.6.
Zadanie 7.7.
Zadanie 7.8.
Zadanie 7.9.
Zadanie 7.10.
Zadanie 7.11.
Zadanie 7.12.
Zadanie 7.13.
Zadanie 7.14.
Zadanie 7.15.
Zadanie 7.16.
Zadanie 7.17.
Zadanie 7.18.
Zadanie 7.19.
Zadanie 7.20.
Zadanie 7.21.
Zadanie 7.22.
Zadanie 8.1.
Zadanie 8.2.
Zadanie 8.3.
Zadanie 8.4.
Zadanie 8.5.
Zadanie 8.6.
Zadanie 8.7.
Zadanie 8.8.
Zadanie 8.9.
Zadanie 8.10.
Zadanie 8.11.
Zadanie 8.12.
Zadanie 8.13.
Zadanie 8.14.
Zadanie 8.15.
Zadanie 8.16.
Zadanie 8.17.
Zadanie 8.18.
Zadanie 8.19.
Zadanie 8.20.
Zadanie 8.21.
Zadanie 9.1.
Zadanie 9.2.
Zadanie 9.3.
Zadanie 9.4.
Zadanie 9.5.
Zadanie 9.6.
Zadanie 9.7.
Zadanie 9.8.
Zadanie 9.9.
Zadanie 9.10.
Zadanie 9.11.