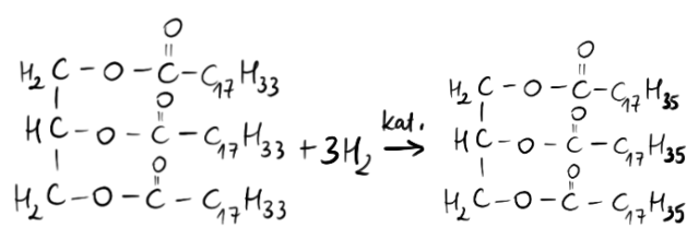
W tym zadaniu należy podać równanie reakcji utwardzania dla oleju roślinnego.
Rozwiązanie
Wyjaśnienie
Utwardzanie tłuszczów to reakcja polegająca na katalitycznych uwodornieniu. Reakcja ta przebiega przy użyciu katalizatora – np. platynowego, niklowego czy palladowego.