Odczyn wodnego roztworu glukozy jest obojętny, a wodne roztworu glukozaminy zasadowe. Procentowa zawartość węgla (% masowy) w cząsteczce glukozy jest mniejsza niż w cząsteczce glukozaminy. Liczba asymetrycznych atomów węgla w cząsteczce glukozy i glukozaminy jest takasama. Z kwasem solnym w temperaturze 20°C może reagować glukozamina. Wytwarzanie glukozaminy przez organizm jest reakcją katalizyenzymatycznej. Funkcję zasady Brønsteda w reakcji z wodą pełni cząsteczka glukozaminy.
Glukozamina to substancja należąca do aminosacharydów ze względu na obecność dodatkowej grupy aminowej o odczynie zasadowym.
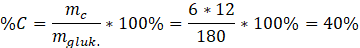
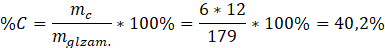
Obliczmy zawartość węgla w cząsteczce glukozy oraz glukozaminy:
| glukoza | glukozamina |
Kwas i zasada Brønsteda
Kwas Brønsteda to donor protonu, a więc jest chętny do oddawania protonów, natomiast zasada Brønsteda to akceptor protonu, a więc jest chętny do pobierania protonów.