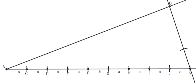
Ustal, jak za pomocą cyrkla i linijki podzielić odcinek na 4:5 równych części.
Zauważ, że aby podzielić odcinek w stosunku 4:5 należy podzielić go na 9 części, a następnie połączyć ze sobą 4 pierwsze i 5 ostatnich.
Narysuj dowolny kąt i umieść na jednym jego ramieniu odcinek AB, a na drugim za pomocą cyrkla 9 odcinków takiej samej, dowolnej długości.
Przez ostatnie punkty na każdym z ramion poprowadź prostą.
Następnie narysuj proste równoległe do uzyskanej prostej przechodzące przez zaznaczone punkty.
Aby to zrobić z punktu K zaznacz łuk przecinający powstałą prostą o promieniu długości JK.
Nie zmieniając rozpiętości cyrkla z uzyskanego przecięcia łuku i punktu J narysuj przecinające się łuki, a następnie narysuj prostą przechodzącą przecięcie łuków i punkt J.
W ten sposób uzyskano prostą równoległą do wyjściowej prostej.
W podobny sposób narysuj kolejne proste równoległe.
W ten sposób podzielono odcinek AB na 9 równych części.
Aby powstał odcinek podzielony w stosunki 4:5 zaznacz 4 początkowe odcinki jednym kolorem, a 5 końcowych drugim.
Zadanie 1
242Ćwiczenie 1
243Ćwiczenie 2
244Zadanie 1
244Zadanie 4
245Zadanie 9
245Ćwiczenie 2
247Ćwiczenie 3
247Ćwiczenie 7
249Zadanie 1
249Zadanie 8
250Zadanie 9
250Ćwiczenie 1
251Ćwiczenie 2
251Ćwiczenie 4
252Ćwiczenie 5
252Ćwiczenie 7
253Zadanie 1
253Zadanie 5
253Zadanie 7
254Ćwiczenie 1
255Ćwiczenie 2
255Ćwiczenie 3
256Ćwiczenie 4
257Ćwiczenie 5
257Zadanie 1
257Zadanie 3
257Zadanie 5
258Zadanie 12
258Zadanie 13
258Ćwiczenie 2
259Ćwiczenie 3
259Ćwiczenie 5
260Zadanie 2
260Zadanie 3
261Zadanie 4
261Zadanie 5
261Zadanie 6
261Zadanie 7
261Zadanie 9
262Zadanie 10
262Zadanie 11
262Zadanie 12
262Zadanie 13
262Zadanie 1
263Zadanie 2
263Zadanie 4
263Ćwiczenie 1
264Ćwiczenie 3
265Ćwiczenie 5
265Ćwiczenie 6
265Zadanie 1
266Zadanie 3
266Zadanie 5
266Zadanie 13
267Zadanie 14
267Ćwiczenie 1
269Zadanie 1
270Zadanie 5
270Zadanie 1
273Zadanie 3
273Zadanie 4
273Zadanie 1
274Zadanie 2
274Zadanie 3
274Zadanie 4
274Zadanie 6
274