Zadanie

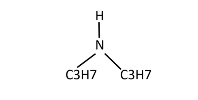
W tym zadaniu musisz narysować wzory strukturalne trzech amin: pierwszo-, drugo- i trzeciorzędowej, zawierających grupy węglowodorowe o trzech atomach węgla. Wykorzystaj poprzednie zadanie i spróbuj podać ich nazwy systematyczne.

Rozwiązanie

Zadania z tego działu
10. Substancje chemiczne o znaczeniu biologicznym
76