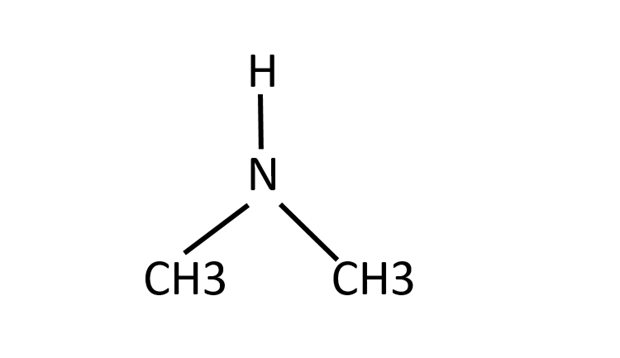
W tym zadaniu musisz narysować wzory strukturalna metyloaminy, dimetyloaminy i trimetyloaminy.
Metyloamina:
Dimetyloamina:
Trimetyloamina:
Zadanie 10.1.1.
Zadanie 10.1.2.
Zadanie 10.1.3.
Zadanie 10.1.4.
Podpunkt a)
Podpunkt b)
Podpunkt c)
Podpunkt d)
Zadanie 10.1.5.
Zadanie 10.1.6.
Zadanie 10.1.7.
Zadanie 10.1.8.
Podpunkt I
Podpunkt II
Podpunkt III
Podpunkt IV
Podpunkt V
Podpunkt VI
Podpunkt VII
Podpunkt VIII
Podpunkt IX
Zadanie 10.1.9.
Zadanie 10.1.10.
Zadanie 10.1.11.
Zadanie 10.1.12.
Zadanie 10.1.13.
Zadanie 10.1.14.
Zadanie 10.1.15.
Zadanie 10.1.16.
Zadanie 10.1.17.
Zadanie 10.1.18.
Podpunkt e)
Podpunkt f)
Podpunkt g)
Podpunkt h)
Zadanie 10.1.19.
Zadanie 10.1.20.
Zadanie 10.1.21.
Zadanie 10.2.1.
Zadanie 10.2.2.
Zadanie 10.2.3.
Zadanie 10.2.4.
Podpunkt i)
Zadanie 10.2.5.
Zadanie 10.2.6.
Zadanie 10.2.7.
Zadanie 10.3.1.
Zadanie 10.3.2.
Zadanie 10.3.3.
Zadanie 10.3.4.
Zadanie 10.3.5.
Zadanie 10.3.6.
Zadanie 10.4.1.
Zadanie 10.4.2.
Zadanie 10.4.3.
Zadanie 10.4.4.
Zadanie 10.4.5.
Zadanie 10.4.6.
Zadanie 10.4.7.
Zadanie 10.5.1.
Zadanie 10.5.2.
Zadanie 10.5.3.
Zadanie 10.5.4.
Zadanie 10.5.5.
Zadanie 10.5.6.
Zadanie 10.5.7.
Zadanie 10.5.8.
Zadanie 10.5.9.
Zadanie 10.5.10.
Zadanie 10.5.11.
Zadanie 10.5.12.
Zadanie 10.5.13.
Zadanie 10.5.14.
Zadanie 10.5.15.
Zadanie 10.5.16.
Zadanie 10.5.17.
Zadanie 10.5.18.
Zadanie 10.5.19.
Zadanie 10.6.1.
Zadanie 10.6.2.
Zadanie 10.6.3.
Zadanie 10.6.4.
Zadanie 10.6.5.
Zadanie 10.6.6.
Zadanie 10.6.7.
Zadanie 10.6.8.
Zadanie 10.6.9.
Zadanie 10.6.10.
Zadanie 10.6.11.
Zadanie 10.6.12.
Zadanie 10.6.13.
Zadanie 10.6.14.
Zadanie 10.6.15.
Zadanie 10.6.16.
Zadanie 10.6.17.
Zadanie 10.6.18.
Zadanie 10.6.19.
Zadanie 10.6.20.
Zadanie 10.6.21.
Zadanie 10.6.22.
Zadanie 10.6.23.
Zadanie 10.6.24.
Zadanie 10.6.25.
Zadanie 10.6.26.
Podpunkt 1.
Podpunkt 2.
Podpunkt 3.
Podpunkt 4.
Podpunkt 5.
Podpunkt 6.
Podpunkt 7.
Podpunkt 8.
Podpunkt 9.
Zadanie 10.6.27.
Podpunkt VI.
Zadanie 10.6.28.