W tym zadaniu musisz określić jak dużo zostało osób na sali, jeśli zanim wyszły z niej trzy dziewczyny prawdopodobieństwo losowego wskazania dziewczyny wynosiło
x – ilość osób, które pozostały
y – ilość dziewczyn, które pozostały
ΩA – wylosowanie jakiejkolwiek osoby przed wyjściem trzech dziewczyn
NA = x + 3
A – wylosowanie dziewczyny przed wyjściem trzech dziewczyn
nA = y + 3
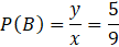
B – wylosowanie dziewczyny po wyjściu trzech dziewczyn
nB = y
ΩB – wylosowanie jakiejkolwiek osoby po wyjściu trzech dziewczyn
NB = x
Odp.: W sali zostało 27 osób.
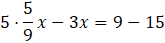
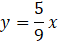
Zauważ, że w treści zadania podane są dwa prawdopodobieństwa. Warto z nich skorzystać. Zapisz te prawdopodobieństwa z klasycznej definicji prawdopodobieństwa. Jest to ilość elementów zdarzenia losowego podzielona przez ilość elementów zbioru zdarzeń elementarnych. Będziesz tu rozważał sytuacje przed wyjściem trzech dziewczyn i po. W obu przypadkach zdarzeniem losowym będzie wylosowanie dziewczyny, jednak w pierwszym przypadku będzie to losowanie z ilości dziewczyn o trzy więcej niż w drugim. Oznacz ilość dziewczyn, które pozostały przez y. Oczywiście przed wyjściem trzech dziewczyn było ich y+3. Następnie musisz wyznaczyć ilości elementów zbioru zdarzeń elementarnych dla każdej sytuacji. Jest to po prostu ilość wszystkich osób w sali, z tym, że podobnie jak wcześniej, zmienia się ich ilość. Oznacz sobie ilość osób, które pozostały przez x (zauważ, że jest to jedyna informacja, która jest wymagana z treści zadania). Przed wyjściem dziewczyn, w Sali było x+3 osoby. Teraz musisz dla każdego przypadku podzielić oba wyrażenia przez siebie i przyrównać je do podanych prawdopodobieństw. Warto zacząć od drugiego prawdopodobieństwa, gdyż wyrażenia tam występujące są prostsze. Ponieważ po obu stronach równania są ułamki, warto przemnożyć je „na krzyż”. Otrzymujesz proste równanie z dwiema niewiadomymi, z którego warto wyznaczyć y (gdyż to y lepiej podstawić do drugiego równania, aby od razu otrzymać x). W drugim równaniu postępujesz podobnie, z tym, że w ułamku są dłuższe wyrażenia. Po przemnożeniu „na krzyż” podstawiasz otrzymanego z pierwszego równania y, otrzymujesz proste równanie liniowe po którego rozwiązaniu otrzymasz wynik.
Ćwiczenie A.
43Przykład 1.
43Zadanie 1.
46Zadanie 2.
46Zadanie 4.
46Zadanie 5.
47Zadanie 6.
47Zadanie 7.
47Zadanie 12.
48Zadanie 16.
49Zadanie 18.
49Zadanie 20.
50Zadanie 1.
53Zadanie 2.
53Zadanie 3.
53Zadanie 6.
54Zadanie 7.
54Zadanie 10.
54Ćwiczenie A.
57Zadanie 1.
61Zadanie 2.
61Zadanie 4.
61Zadanie 5.
61Zadanie 7.
62Zadanie 8.
62Zadanie 10.
62Zadanie 11.
62Zadanie 12.
62Zadanie 15.
63Zadanie 17.
63Zadanie 18.
63Zadanie 1.
67Zadanie 2.
67Zadanie 3.
68Zadanie 5.
68Zadanie 12.
69Ćwiczenie A.
70Przykład 2.
73Zadanie 3.
74Zadanie 4.
74Zadanie 5.
75Zadanie 6.
75Zadanie 7.
75Zadanie 8.
75Zadanie 9.
75Zadanie 10.
75Zadanie 11.
76Zadanie 12.
76Zadanie 13.
76Zadanie 15.
77Zadanie 16.
77Zadanie 22.
77Zadanie 23.
78Zadanie 24.
78Zadanie 25.
78Zadanie 1.
81Zadanie 2.
81Zadanie 3.
81Zadanie 4.
81Zadanie 5.
82Zadanie 6.
82Zadanie 7.
82Zadanie 8.
82Zadanie 9.
82Zadanie 10.
83Zadanie 11.
83Zadanie 12.
83Zadanie 1.
84Zadanie 3.
84Zadanie 6.
84Zadanie 7.
84Zadanie 8.
84Zadanie 10.
84