W tym zadaniu musisz określić jak wiele kart było pierwotnie w zestawie kilkunastu losowo wybranych kart z talii, jeśli szansa na wylosowanie kiera z tego zestawu wynosiła
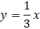
x – pierwotna ilość kart w zestawie
y – pierwotna ilość kierów w zestawie
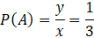
ΩA – wylosowanie jakiejkolwiek karty przed zabraniem kierów
NA = x
A – wylosowanie kiera przed zabraniem kierów
nA = y
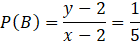
B – wylosowanie kiera po zabraniu kierów
nB = y – 2
ΩB – wylosowanie jakiejkolwiek karty po zabraniu kierów
NB = x – 2
Odp.: A. 12.
Zauważ, że w treści zadania podane są dwa prawdopodobieństwa. Warto z nich skorzystać. Zapisz te prawdopodobieństwa z klasycznej definicji prawdopodobieństwa. Jest to ilość elementów zdarzenia losowego podzielona przez ilość elementów zbioru zdarzeń elementarnych. Będziesz tu rozważał sytuacje przed usunięciem kierów i po. Oznacz ilość kierów które były pierwotnie przez y. Oczywiście po usunięciu dwóch kierów było ich y – 2. Następnie musisz wyznaczyć ilości elementów zbioru zdarzeń elementarnych dla każdej sytuacji. Jest to po prostu ilość wszystkich kart w zestawie, z tym, że podobnie jak wcześniej, zmienia się ich ilość. Oznacz sobie ilość kart, które były pierwotnie przez x (zauważ, że jest to jedyna informacja, która jest wymagana z treści zadania). Po usunięciu kierów w zestawie było x – 2 kart. Teraz musisz dla każdego przypadku podzielić oba wyrażenia przez siebie i przyrównać je do podanych prawdopodobieństw. Ponieważ po obu stronach równania są ułamki, warto przemnożyć je „na krzyż”. Otrzymujesz proste równanie z dwiema niewiadomymi, z którego warto wyznaczyć y (gdyż to y lepiej podstawić do drugiego równania, aby od razu otrzymać x). W drugim równaniu postępujesz podobnie, z tym, że w ułamku są dłuższe wyrażenia. Po przemnożeniu „na krzyż” podstawiasz otrzymanego z pierwszego równania y, otrzymujesz proste równanie liniowe po którego rozwiązaniu otrzymasz wynik.
Ćwiczenie A.
43Przykład 1.
43Zadanie 1.
46Zadanie 2.
46Zadanie 4.
46Zadanie 5.
47Zadanie 6.
47Zadanie 7.
47Zadanie 12.
48Zadanie 16.
49Zadanie 18.
49Zadanie 20.
50Zadanie 1.
53Zadanie 2.
53Zadanie 3.
53Zadanie 6.
54Zadanie 7.
54Zadanie 10.
54Ćwiczenie A.
57Zadanie 1.
61Zadanie 2.
61Zadanie 4.
61Zadanie 5.
61Zadanie 7.
62Zadanie 8.
62Zadanie 10.
62Zadanie 11.
62Zadanie 12.
62Zadanie 15.
63Zadanie 17.
63Zadanie 18.
63Zadanie 1.
67Zadanie 2.
67Zadanie 3.
68Zadanie 5.
68Zadanie 12.
69Ćwiczenie A.
70Przykład 2.
73Zadanie 3.
74Zadanie 4.
74Zadanie 5.
75Zadanie 6.
75Zadanie 7.
75Zadanie 8.
75Zadanie 9.
75Zadanie 10.
75Zadanie 11.
76Zadanie 12.
76Zadanie 13.
76Zadanie 15.
77Zadanie 16.
77Zadanie 22.
77Zadanie 23.
78Zadanie 24.
78Zadanie 25.
78Zadanie 1.
81Zadanie 2.
81Zadanie 3.
81Zadanie 4.
81Zadanie 5.
82Zadanie 6.
82Zadanie 7.
82Zadanie 8.
82Zadanie 9.
82Zadanie 10.
83Zadanie 11.
83Zadanie 12.
83Zadanie 1.
84Zadanie 3.
84Zadanie 6.
84Zadanie 7.
84Zadanie 8.
84Zadanie 10.
84