W tym zadaniu musisz na podstawie podanej wyżej ciekawostki (na temat dylematu Monty’ego Halla) musisz wyliczyć prawdopodobieństwo wygranej gracza, jeśli zdecyduje się on, że po odsłonięciu drzwi, za którymi nie ma nagrody decyzję o zmianie drzwi podejmie w zależności od wyniku rzutu monetą.
A – wygrana
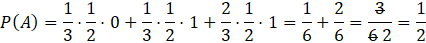
Ponieważ najpierw wybiera się drzwi a następnie rzuca się monetą i od tego rzutu zależy zmiana wyboru, to masz tu do czynienia z doświadczeniem losowym wieloetapowym i możesz narysować tutaj drzewko. Pierwszy poziom tego drzewka będzie odpowiadał wyborowi drzwi, zaś drugi odpowiada efektowi rzutu monetą. Możesz dorysować jeszcze kolejny poziom odpowiadający określeniu trafności wyboru po zmianie (bądź braku zmiany) wyboru. Jeśli decyzja nie zmienia się, to wciąż zostają te drzwi które zostały wybrane na samym początku. Jeśli na początku wybrano wygrywające drzwi, to gdy się ich nie zmieni, dalej będą wygrywały, zaś jeśli wybrano drzwi nie dające wygranej, to po braku zmiany wciąż nie będą dawały wygranej. Z kolei, jeśli zmieniono decyzję, to w przypadku, gdy wybrano wygrywające drzwi najpierw, a następnie zmieniono je, to na pewno zmieniono je na drzwi niewygrywające, podobnie w sytuacji odwrotnej. Gdy uwzględnisz to wszystko i zapiszesz wszystkie prawdopodobieństwa zaznacz wszystkie ścieżki, które dają wygraną. Następnie przemnóż przez siebie prawdopodobieństwa na poszczególnych gałęziach oraz dodaj do siebie uzyskane wyniki z różnych gałęzi.
Ćwiczenie A.
43Przykład 1.
43Zadanie 1.
46Zadanie 2.
46Zadanie 4.
46Zadanie 5.
47Zadanie 6.
47Zadanie 7.
47Zadanie 12.
48Zadanie 16.
49Zadanie 18.
49Zadanie 20.
50Zadanie 1.
53Zadanie 2.
53Zadanie 3.
53Zadanie 6.
54Zadanie 7.
54Zadanie 10.
54Ćwiczenie A.
57Zadanie 1.
61Zadanie 2.
61Zadanie 4.
61Zadanie 5.
61Zadanie 7.
62Zadanie 8.
62Zadanie 10.
62Zadanie 11.
62Zadanie 12.
62Zadanie 15.
63Zadanie 17.
63Zadanie 18.
63Zadanie 1.
67Zadanie 2.
67Zadanie 3.
68Zadanie 5.
68Zadanie 12.
69Ćwiczenie A.
70Przykład 2.
73Zadanie 3.
74Zadanie 4.
74Zadanie 5.
75Zadanie 6.
75Zadanie 7.
75Zadanie 8.
75Zadanie 9.
75Zadanie 10.
75Zadanie 11.
76Zadanie 12.
76Zadanie 13.
76Zadanie 15.
77Zadanie 16.
77Zadanie 22.
77Zadanie 23.
78Zadanie 24.
78Zadanie 25.
78Zadanie 1.
81Zadanie 2.
81Zadanie 3.
81Zadanie 4.
81Zadanie 5.
82Zadanie 6.
82Zadanie 7.
82Zadanie 8.
82Zadanie 9.
82Zadanie 10.
83Zadanie 11.
83Zadanie 12.
83Zadanie 1.
84Zadanie 3.
84Zadanie 6.
84Zadanie 7.
84Zadanie 8.
84Zadanie 10.
84