W tym zadaniu musisz określić, ile gracz powinien wygrywać w grze, aby gra była sprawiedliwa. Gra polega na wylosowaniu kuli z urny zawierającej 7 kul z liczbami od 1 do 7, jeśli wylosuje się liczbę dzielącą się przez 3 przegrywa się 3 zł, zaś jeśli nie, to losuje się drugą kulę. Jeśli przy losowaniu drugiej kuli natrafi się na kulę z liczbą podzielną przez 3 to traci się 5 zł, zaś w przeciwnym wypadku wygrywa się szukaną wygraną.
A – w pierwszym losowaniu wylosuje się kulę z liczbą podzielną przez 3
B – w pierwszym losowaniu wylosuje się kulę z liczbą nie dzielącą się przez 3, ale w drugim losowaniu wylosuje się taką kulę
C – w obu losowaniach wylosuje się kule z liczbami nie dzielącymi się przez 3.
x – kwota wygranej w przypadku wylosowania dwóch kul z liczbami dzielącymi się przez 3
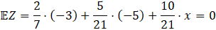
O grze mówimy, że jest sprawiedliwa wtedy, gdy jej wartość oczekiwana wynosi 0. Więc zadanie będzie polegać na przyrównaniu wartości oczekiwanej do 0, podstawieniu za szukaną stawkę x oraz rozwiązanie równania. Jednak, aby uzyskać równanie z x musisz obliczyć prawdopodobieństwa wszystkich zdarzeń. Zauważ, że masz tu do czynienia z doświadczeniem wieloetapowym, więc warto narysować sobie drzewko. Każdy poziom odpowiada kolejnemu losowaniu. Wylosowanie kuli z liczbą podzielną przez 3 w pierwszym rzucie prowadzi do końca gry, więc nie musisz dla tego przypadku rysować dalszych gałęzi. Prawdopodobieństwo wylosowania danej kuli obliczasz z klasycznej definicji prawdopodobieństwa dzieląc ilość danych kul przez ilość wszystkich kul. Pamiętaj, że po pierwszym losowaniu wyciągasz wylosowaną kulę i liczba kul się zmniejsza. Gdy już będziesz miał całe drzewko możesz policzyć szukane prawdopodobieństwa. Mając te wszystkie informacje podstaw je do wzoru na wartość oczekiwaną, przyrównaj to wyrażenie do 0 i oblicz x. Pamiętaj, że stratę zapisuj jako ujemną wygraną. Aby pozbyć się ułamków warto przemnożyć obie strony równania przez wspólny mianownik, czyli 21.
Ćwiczenie A.
43Przykład 1.
43Zadanie 1.
46Zadanie 2.
46Zadanie 4.
46Zadanie 5.
47Zadanie 6.
47Zadanie 7.
47Zadanie 12.
48Zadanie 16.
49Zadanie 18.
49Zadanie 20.
50Zadanie 1.
53Zadanie 2.
53Zadanie 3.
53Zadanie 6.
54Zadanie 7.
54Zadanie 10.
54Ćwiczenie A.
57Zadanie 1.
61Zadanie 2.
61Zadanie 4.
61Zadanie 5.
61Zadanie 7.
62Zadanie 8.
62Zadanie 10.
62Zadanie 11.
62Zadanie 12.
62Zadanie 15.
63Zadanie 17.
63Zadanie 18.
63Zadanie 1.
67Zadanie 2.
67Zadanie 3.
68Zadanie 5.
68Zadanie 12.
69Ćwiczenie A.
70Przykład 2.
73Zadanie 3.
74Zadanie 4.
74Zadanie 5.
75Zadanie 6.
75Zadanie 7.
75Zadanie 8.
75Zadanie 9.
75Zadanie 10.
75Zadanie 11.
76Zadanie 12.
76Zadanie 13.
76Zadanie 15.
77Zadanie 16.
77Zadanie 22.
77Zadanie 23.
78Zadanie 24.
78Zadanie 25.
78Zadanie 1.
81Zadanie 2.
81Zadanie 3.
81Zadanie 4.
81Zadanie 5.
82Zadanie 6.
82Zadanie 7.
82Zadanie 8.
82Zadanie 9.
82Zadanie 10.
83Zadanie 11.
83Zadanie 12.
83Zadanie 1.
84Zadanie 3.
84Zadanie 6.
84Zadanie 7.
84Zadanie 8.
84Zadanie 10.
84