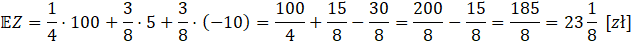
W tym zadaniu trzeba wyliczyć wartość oczekiwaną wyniku gry polegającej na rzucie trzema monetami. Za wyrzucenie 3 orłów lub reszek dostaje się 100 zł, za 2 orły – 5 zł, zaś za inne wyniki traci się 10 zł.
Ω = {OOO, OOR, ORO, ROO, ORR, RRO, ROR, RRR}
A – wyrzucenie 3 orłów lub reszek
A = {OOO, RRR}
B – wyrzucenie 2 orłów
B = {OOR, ORO, ROO}
C – pozostałe przypadki
C = {ORR, RRO, ROR}
Aby obliczyć wartość oczekiwaną tej gry musisz obliczyć prawdopodobieństwa wyrzucenia poszczególnych kombinacji monet. Najlepiej wypisać sobie wszystkie możliwe kombinacje rzutów trzech monet (czyli przestrzeń zdarzeń elementarnych), a następnie wypisać zdarzenia losowe, dla każdego z wyszczególnionych zdarzeń. Gdy już to zrobisz korzystasz z klasycznej definicji prawdopodobieństwa i liczysz prawdopodobieństwa wyrzucenia danych kombinacji rzutów dzieląc ilość takich kombinacji przez ilość wszystkich kombinacji, czyli 8. Gdy już będziesz miał wszystkie prawdopodobieństwa to skorzystaj ze wzoru na wartość oczekiwaną. Pamiętaj, że stratę zapisuj jako ujemną wygraną.
Ćwiczenie A.
43Przykład 1.
43Zadanie 1.
46Zadanie 2.
46Zadanie 4.
46Zadanie 5.
47Zadanie 6.
47Zadanie 7.
47Zadanie 12.
48Zadanie 16.
49Zadanie 18.
49Zadanie 20.
50Zadanie 1.
53Zadanie 2.
53Zadanie 3.
53Zadanie 6.
54Zadanie 7.
54Zadanie 10.
54Ćwiczenie A.
57Zadanie 1.
61Zadanie 2.
61Zadanie 4.
61Zadanie 5.
61Zadanie 7.
62Zadanie 8.
62Zadanie 10.
62Zadanie 11.
62Zadanie 12.
62Zadanie 15.
63Zadanie 17.
63Zadanie 18.
63Zadanie 1.
67Zadanie 2.
67Zadanie 3.
68Zadanie 5.
68Zadanie 12.
69Ćwiczenie A.
70Przykład 2.
73Zadanie 3.
74Zadanie 4.
74Zadanie 5.
75Zadanie 6.
75Zadanie 7.
75Zadanie 8.
75Zadanie 9.
75Zadanie 10.
75Zadanie 11.
76Zadanie 12.
76Zadanie 13.
76Zadanie 15.
77Zadanie 16.
77Zadanie 22.
77Zadanie 23.
78Zadanie 24.
78Zadanie 25.
78Zadanie 1.
81Zadanie 2.
81Zadanie 3.
81Zadanie 4.
81Zadanie 5.
82Zadanie 6.
82Zadanie 7.
82Zadanie 8.
82Zadanie 9.
82Zadanie 10.
83Zadanie 11.
83Zadanie 12.
83Zadanie 1.
84Zadanie 3.
84Zadanie 6.
84Zadanie 7.
84Zadanie 8.
84Zadanie 10.
84