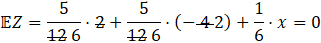
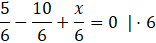
W tym zadaniu trzeba wyliczyć, ile ma wynosić nagroda lub strata za wyrzucenie takiej samej liczby oczek na dwóch kostkach – czerwonej i zielonej, aby gra była sprawiedliwa, jeśli za wyrzucenie większej liczby oczek na kostce czerwonej wygrana wynosi 2 zł, zaś za wyrzucenie większej liczby na zielonej kostce, przegrywa się 4 zł.
A – wynik na czerwonej kostce jest większy (oznaczane symbolem A)
B – wynik na zielonej kostce jest większy (oznaczane symbolem B)
C – taka sama liczba oczek na obydwu kostkach (oznaczane symbolem X)
O grze mówimy, że jest sprawiedliwa wtedy, gdy jej wartość oczekiwana wynosi 0. Więc zadanie będzie polegać na przyrównaniu wartości oczekiwanej do 0, podstawieniu za szukaną stawkę x oraz rozwiązanie równania. Jednak, aby uzyskać równanie z x musisz obliczyć prawdopodobieństwa wszystkich trzech zdarzeń. Najlepiej zrobić to przy użyciu tabeli. W kolumnach wpisujesz wyniki rzutu kostką czerwoną, zaś w wiersze kostką zieloną. Następnie zaznacz w różny sposób komórki, które spełniają te 3 zdarzenia, policz, ile jest zaznaczonych komórek dla każdego zdarzenia i oblicz prawdopodobieństwo z klasycznej definicji prawdopodobieństwa. Teraz już możesz podstawić znane wartości do wzoru na wartość oczekiwaną, przyrównać to wyrażenie do 0 i obliczyć x. Pamiętaj, że stratę zapisuj jako ujemną wygraną.
Ćwiczenie A.
43Przykład 1.
43Zadanie 1.
46Zadanie 2.
46Zadanie 4.
46Zadanie 5.
47Zadanie 6.
47Zadanie 7.
47Zadanie 12.
48Zadanie 16.
49Zadanie 18.
49Zadanie 20.
50Zadanie 1.
53Zadanie 2.
53Zadanie 3.
53Zadanie 6.
54Zadanie 7.
54Zadanie 10.
54Ćwiczenie A.
57Zadanie 1.
61Zadanie 2.
61Zadanie 4.
61Zadanie 5.
61Zadanie 7.
62Zadanie 8.
62Zadanie 10.
62Zadanie 11.
62Zadanie 12.
62Zadanie 15.
63Zadanie 17.
63Zadanie 18.
63Zadanie 1.
67Zadanie 2.
67Zadanie 3.
68Zadanie 5.
68Zadanie 12.
69Ćwiczenie A.
70Przykład 2.
73Zadanie 3.
74Zadanie 4.
74Zadanie 5.
75Zadanie 6.
75Zadanie 7.
75Zadanie 8.
75Zadanie 9.
75Zadanie 10.
75Zadanie 11.
76Zadanie 12.
76Zadanie 13.
76Zadanie 15.
77Zadanie 16.
77Zadanie 22.
77Zadanie 23.
78Zadanie 24.
78Zadanie 25.
78Zadanie 1.
81Zadanie 2.
81Zadanie 3.
81Zadanie 4.
81Zadanie 5.
82Zadanie 6.
82Zadanie 7.
82Zadanie 8.
82Zadanie 9.
82Zadanie 10.
83Zadanie 11.
83Zadanie 12.
83Zadanie 1.
84Zadanie 3.
84Zadanie 6.
84Zadanie 7.
84Zadanie 8.
84Zadanie 10.
84