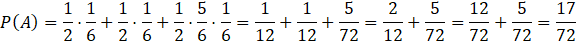
W tym zadaniu musisz obliczyć prawdopodobieństwo, że w doświadczeniu losowym polegającym na rzucie monetą i rzucie kostką, jeśli wypadnie orzeł lub dwukrotnym rzucie kostką, jeśli wypadnie reszka, wypadnie przynajmniej raz jedno oczko.
A – wypadnie przynajmniej jedno oczko
Ponieważ doświadczenie losowe jest wieloetapowe, w tym zadaniu musisz narysować drzewko. Pierwszy poziom drzewka będzie odpowiadał rzutowi monetą, zaś drugi – rzutowi kostką. Rzucając monetę może wypaść orzeł lub reszka, zaś rzucając kostką możesz wyrzucić albo jedynkę, albo coś innego i te przypadki zaznaczasz jako gałęzie. Po wyrzuceniu reszki masz dwa rzuty, które również musisz zaznaczyć. Jednak, jeśli wyrzucić za pierwszym razem jedynkę, to warunek z zadania zostanie spełniony i nie musisz rysować trzeciego rzutu. Prawdopodobieństwo wyrzucenia zarówno orła jak i reszki wynosi jedna druga, zaś wyrzucenia jedynki kostką – jedną szóstą. Gdy już narysujesz drzewo zaznacz te zdarzenia, których prawdopodobieństwo będziesz liczył oraz wszystkie gałęzie po drodze. Następnie przemnóż przez siebie prawdopodobieństwa na poszczególnych gałęziach oraz dodaj do siebie uzyskane wyniki z różnych gałęzi.
Ćwiczenie A.
43Przykład 1.
43Zadanie 1.
46Zadanie 2.
46Zadanie 4.
46Zadanie 5.
47Zadanie 6.
47Zadanie 7.
47Zadanie 12.
48Zadanie 16.
49Zadanie 18.
49Zadanie 20.
50Zadanie 1.
53Zadanie 2.
53Zadanie 3.
53Zadanie 6.
54Zadanie 7.
54Zadanie 10.
54Ćwiczenie A.
57Zadanie 1.
61Zadanie 2.
61Zadanie 4.
61Zadanie 5.
61Zadanie 7.
62Zadanie 8.
62Zadanie 10.
62Zadanie 11.
62Zadanie 12.
62Zadanie 15.
63Zadanie 17.
63Zadanie 18.
63Zadanie 1.
67Zadanie 2.
67Zadanie 3.
68Zadanie 5.
68Zadanie 12.
69Ćwiczenie A.
70Przykład 2.
73Zadanie 3.
74Zadanie 4.
74Zadanie 5.
75Zadanie 6.
75Zadanie 7.
75Zadanie 8.
75Zadanie 9.
75Zadanie 10.
75Zadanie 11.
76Zadanie 12.
76Zadanie 13.
76Zadanie 15.
77Zadanie 16.
77Zadanie 22.
77Zadanie 23.
78Zadanie 24.
78Zadanie 25.
78Zadanie 1.
81Zadanie 2.
81Zadanie 3.
81Zadanie 4.
81Zadanie 5.
82Zadanie 6.
82Zadanie 7.
82Zadanie 8.
82Zadanie 9.
82Zadanie 10.
83Zadanie 11.
83Zadanie 12.
83Zadanie 1.
84Zadanie 3.
84Zadanie 6.
84Zadanie 7.
84Zadanie 8.
84Zadanie 10.
84