Gra polega na rzuceniu kostką standardową. Gdy wyrzucisz 6 oczek losujesz zapałkę z pudełka III, w przypadku wyrzucenia 1 lub 2 oczek to losowanie odbywa się z pudełka II, zaś dla innych liczb oczek losujesz zapałkę z pudełka I. Jeśli wylosujesz zapałkę z łebkiem to wygrywasz 3 zł. W tym zadaniu trzeba wyliczyć, ile ma wynosić przegrana za wylosowanie zapałki bez łebka. Zawartości każdego z pudełek przedstawia poniższa tabela.
A – wylosowano zapałkę z łebkiem
B – wylosowano zapałkę bez łebka
x – przegrana
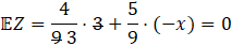
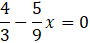
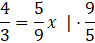
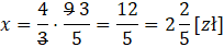
O grze mówimy, że jest sprawiedliwa wtedy, gdy jej wartość oczekiwana wynosi 0. Więc zadanie będzie polegać na przyrównaniu wartości oczekiwanej do 0, podstawieniu za przegraną x oraz rozwiązanie równania. Jednak, aby uzyskać równanie z x musisz obliczyć prawdopodobieństwa wszystkich zdarzeń. Zauważ, że masz do czynienia z doświadczeniem wieloetapowym, więc najlepszym rozwiązaniem będzie narysowanie drzewka. Pierwszy poziom odpowiada rzutowi kostką, zaś drugi – losowaniu z odpowiedniego pudełka. Aby obliczyć prawdopodobieństwo wyrzucenia danej liczby oczek lub wylosowania danej zapałki skorzystaj z klasycznej definicji prawdopodobieństwa, czyli podziel ilość ścianek z daną ilością oczek lub ilość danych zapałek w pudełku przez ilość wszystkich ścianek w kostce (czyli 6) lub ilość wszystkich zapałek w pudełku (suma zapałek z łebkami i bez łebków). Pamiętaj, że w zależności od rzutu kostką losujesz z innego pudełka. Aby obliczyć prawdopodobieństwo wylosowania zapałki z łebkiem przemnóż liczby na wszystkich gałęziach „po drodze” do zapałek z łebkami i dodaj wyniki z innych gałęzi. Analogicznie postąp dla prawdopodobieństwa wylosowania zapałki bez łebka. Gdy już będziesz miał wszystkie potrzebne informacje podstaw znane wartości do wzoru na wartość oczekiwaną. Pamiętaj, że przegrana to ujemna wygrana. Następnie musisz przyrównać to wyrażenie do 0 i obliczyć x.
Ćwiczenie A.
43Przykład 1.
43Zadanie 1.
46Zadanie 2.
46Zadanie 4.
46Zadanie 5.
47Zadanie 6.
47Zadanie 7.
47Zadanie 12.
48Zadanie 16.
49Zadanie 18.
49Zadanie 20.
50Zadanie 1.
53Zadanie 2.
53Zadanie 3.
53Zadanie 6.
54Zadanie 7.
54Zadanie 10.
54Ćwiczenie A.
57Zadanie 1.
61Zadanie 2.
61Zadanie 4.
61Zadanie 5.
61Zadanie 7.
62Zadanie 8.
62Zadanie 10.
62Zadanie 11.
62Zadanie 12.
62Zadanie 15.
63Zadanie 17.
63Zadanie 18.
63Zadanie 1.
67Zadanie 2.
67Zadanie 3.
68Zadanie 5.
68Zadanie 12.
69Ćwiczenie A.
70Przykład 2.
73Zadanie 3.
74Zadanie 4.
74Zadanie 5.
75Zadanie 6.
75Zadanie 7.
75Zadanie 8.
75Zadanie 9.
75Zadanie 10.
75Zadanie 11.
76Zadanie 12.
76Zadanie 13.
76Zadanie 15.
77Zadanie 16.
77Zadanie 22.
77Zadanie 23.
78Zadanie 24.
78Zadanie 25.
78Zadanie 1.
81Zadanie 2.
81Zadanie 3.
81Zadanie 4.
81Zadanie 5.
82Zadanie 6.
82Zadanie 7.
82Zadanie 8.
82Zadanie 9.
82Zadanie 10.
83Zadanie 11.
83Zadanie 12.
83Zadanie 1.
84Zadanie 3.
84Zadanie 6.
84Zadanie 7.
84Zadanie 8.
84Zadanie 10.
84